Última actualización :
18/03/2026
Varios   Indocyanine green  
Inyectables
Estabilidad en solucion Estabilidad en mezcla Factores que influyen sobre la estabilidad Compatibilidades método de inyección Bibliografía pdf
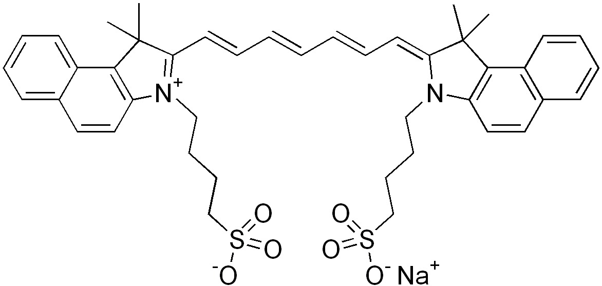
   Estructura química  

Nombre comercial   Nombre comercial     

Los nombres comerciales son orientativos y los excipientes de la formulación pueden ser distintos dependiendo del país y del laboratorio fabricante.

Infracyanine Francia
Verdye Alemania, Bélgica, España, Hungría, Irlanda, Italia, Rumania, Suecia
Estabilidad en mezcla   Inyectables   Estabilidad en mezcla : Indocyanine green     
Ausencia de datos

  Mentions Légales