Siste oppdatering :
18/03/2026
Forskjellig   Indocyanine green  
Injeksjon
Oppløsningsstabilitet Stabilitet i blandinger Faktorer som påvirker stabiliteten Kompatibilitet Administrasjonsmåte Referanser pdf
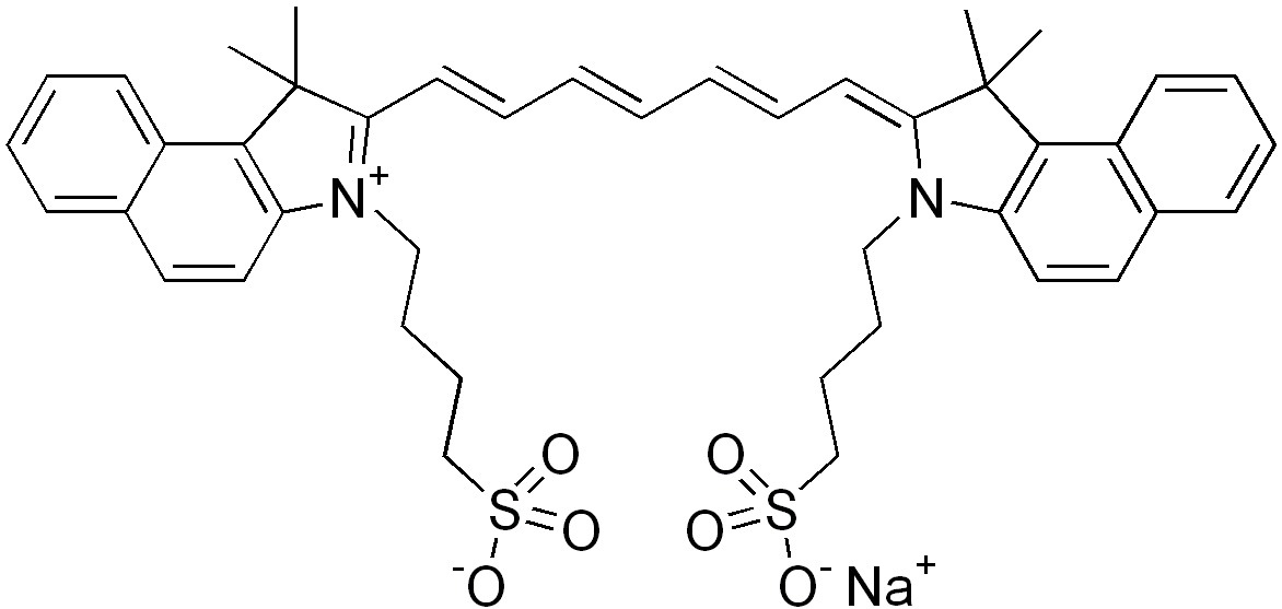
   Kjemisk struktur  

Handelsnavn   Handelsnavn     

Handelsnavn er veiledende og sammensetning av hjelpestoffer kan være forskjellig avhengig av land og produsent

Infracyanine Frankrike
Verdye Belgia, Irland, Italia, Romania, Spania, Sverige, Tyskland, Ungarn
Stabilitet i blandinger   Injeksjon   Stabilitet i blandinger : Indocyanine green     
Ingen opplysninger

  Mentions Légales