viimane versioon :
18/03/2026
mitmesugune   Indocyanine green  
Süsteravim
Stabiilsus lahustes Stabiilsust mõjutavad tegurid stabiilsust mõjutavad faktorid Sobimatus Manustamis viis Viited pdf
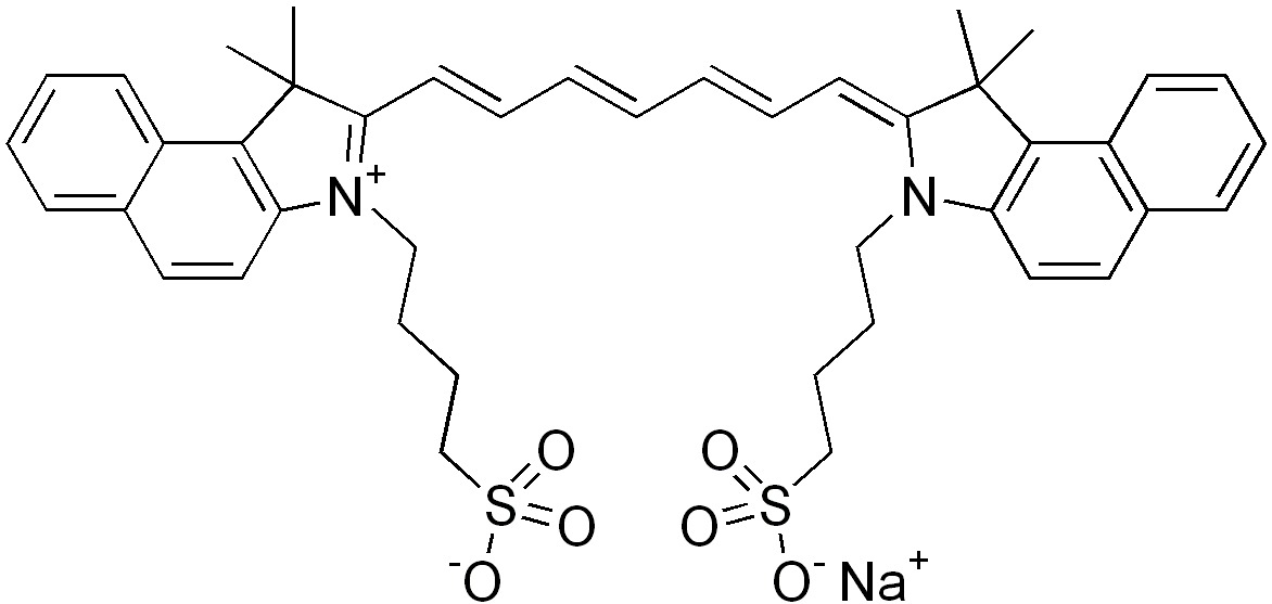
   keemiline struktuur  

Kaubanduslikud nimed erinevates maades   Kaubanduslikud nimed erinevates maades     

Preparaatide nimed on näitlikud ja abianete sisaldus võib erineda sõltuvalt riigist ja laborist

Infracyanine Prantsusmaa
Verdye Belgia, Hispaania, Iirimaa, Itaalia, Rootsi, Rumeenia, Saksamaa, Ungari
Stabiilsust mõjutavad tegurid   Süsteravim   Stabiilsust mõjutavad tegurid : Indocyanine green     
andmed puuduvad

  Mentions Légales