Última actualização :
18/03/2026
Varios   Indocyanine green  
injetável
Estabilidade em soluções simples Estabilidade em misturas Factores que afectam a sua estabilidade Compatibilidade Método de administração Bibliografía pdf
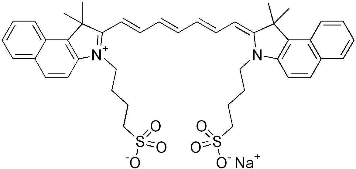
   estrutura química  

Nomes comerciais nos diversos países   Nomes comerciais nos diversos países     

OS NOMES COMERCIAIS SÃO INDICATIVOS E OS EXCIPIENTES DA FORMULAÇÃO PODEM SER DIFERENTES CONFORME O PAÍS E FABRICANTE.

Infracyanine França
Verdye Alemanha, Bélgica, Espanha, Hungria, Irlanda, Itália, Romènia, Suècia
Estabilidade em misturas   injetável   Estabilidade em misturas : Indocyanine green     
Ausência de dados

  Mentions Légales