Seneste opdatering :
18/03/2026
Diverse   Indocyanine green  
Injektion
Stabilitet i (vandige) opløsninger Stabilitet i blandinger Faktorer der påvirker stabiliteten Kompatibilitet Administrationsvej Bibliografi pdf
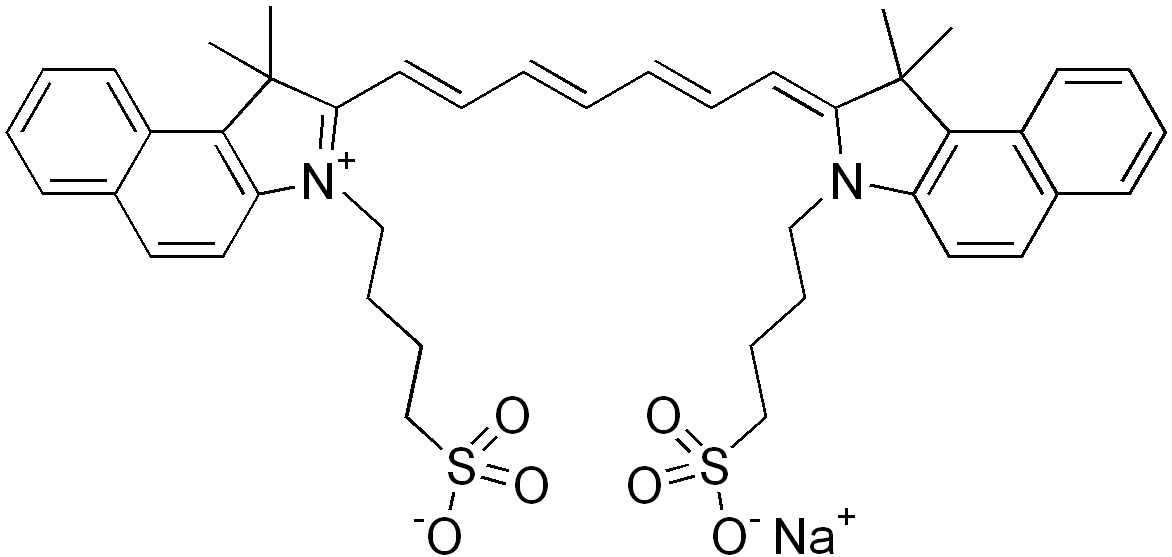
   Kemisk struktur  

Handelsnavn   Handelsnavn     

Handel navne er vejledende og hjælpestoffer sammensætning kan være forskellig afhængigt af landet og laboratorier

Infracyanine Frankrig
Verdye Belgien, Irland, Italien, Rumænien, Spanien, Sverige, Tyskland, Ungarn
Stabilitet i blandinger   Injektion   Stabilitet i blandinger : Indocyanine green     
Ingen data

  Mentions Légales