Última actualización :
27/11/2025
fármacos contra el cáncer   Cyclophosphamide  
Cápsula
Inyectables Solución Oral
La estabilidad de las preparaciones farmacéuticas Estabilidad en mezcla Factores que influyen sobre la estabilidad Compatibilidades Bibliografía pdf
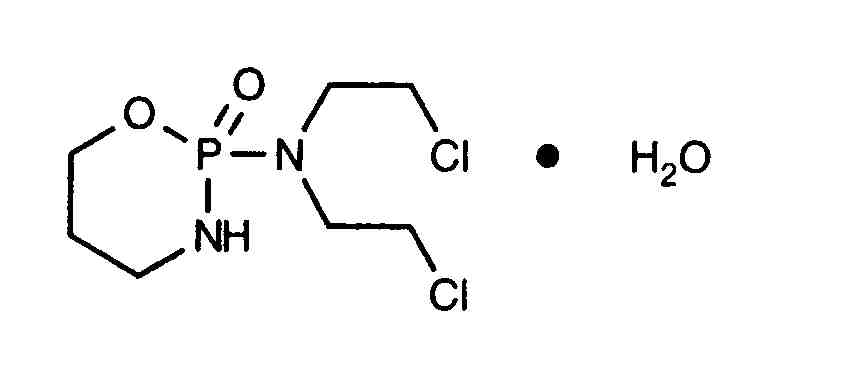
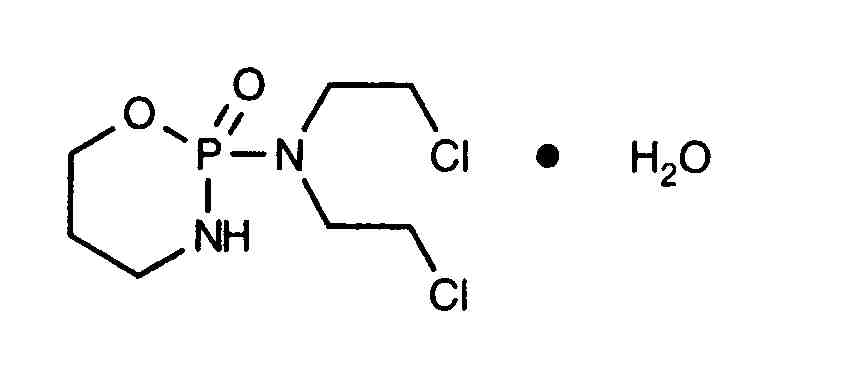
   Estructura química  

Cápsula
Bibliografía   Cápsula   Bibliografía : Cyclophosphamide  
Tipo Publicación
2000 periódico Bouligand J, Storme T, Laville I, Mercier L, Oberlin O, Vassal J, Bourget Ph, Paci A.
Quality control and stability study using HPTLC: applications to cyclophosphamide in various pharmaceutical products.
J Pharm Biomed Anal 2005 ; 38: 180-185.

  Mentions Légales