最新更新 :
27/11/2025
細胞増殖抑制薬   Cyclophosphamide  
カプセル
注射薬 経口液
調剤時の安定性 混合時の安定性 安定性に影響する因子 互換性 引用文献 PDF
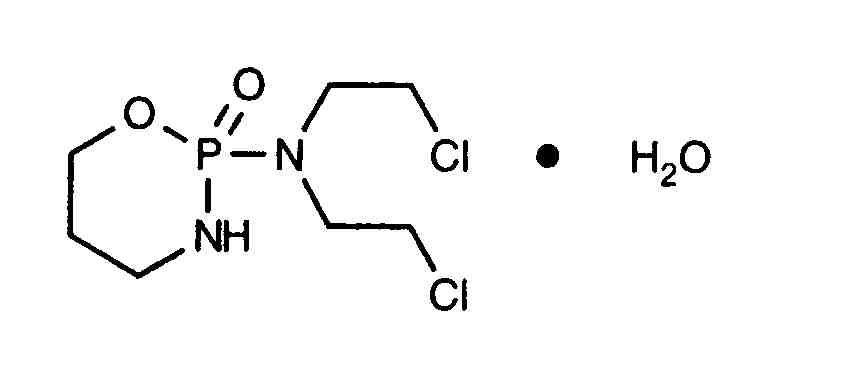
   化学構造  

カプセル
引用文献   カプセル   引用文献 : Cyclophosphamide  
形式 出版物
2000 雑誌 Bouligand J, Storme T, Laville I, Mercier L, Oberlin O, Vassal J, Bourget Ph, Paci A.
Quality control and stability study using HPTLC: applications to cyclophosphamide in various pharmaceutical products.
J Pharm Biomed Anal 2005 ; 38: 180-185.

  Mentions Légales