Poslední aktualizace :
27/11/2025
rakovina drog   Cyclophosphamide  
kapsle
injekce Perorální roztok
Stabilita farmaceutických přípravků Stabilita směsí Faktory ovlivňující stabilitu Kompatibilita Odkazy pdf
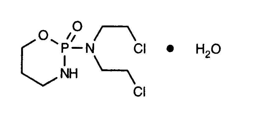
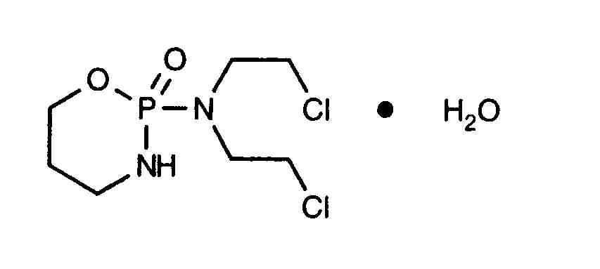
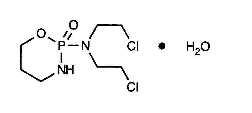
   Chemický vzorec  

kapsle
Odkazy   kapsle   Odkazy : Cyclophosphamide  
typ uveřejnění
2000 noviny Bouligand J, Storme T, Laville I, Mercier L, Oberlin O, Vassal J, Bourget Ph, Paci A.
Quality control and stability study using HPTLC: applications to cyclophosphamide in various pharmaceutical products.
J Pharm Biomed Anal 2005 ; 38: 180-185.

  Mentions Légales