آخر تحديث :
27/11/2025
المضادة للسرطان المخدرات   Cyclophosphamide  
كبسولة
حقن عن طريق الفم
استقرار المستحضرات الصيدلانية استقرار مخاليط العوامل التي تؤثر على الاستقرار التوافق مراجع pdf
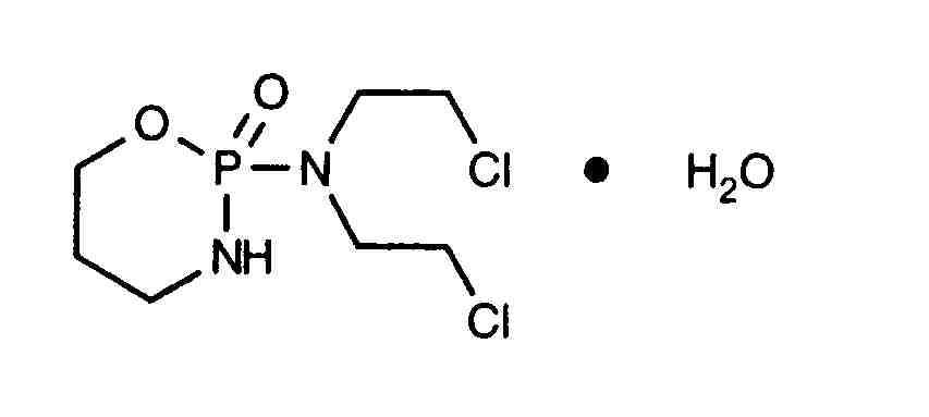
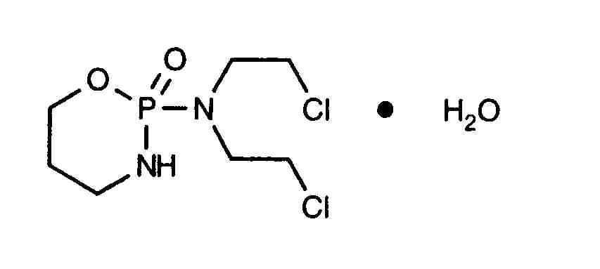
   التركيب الكيميائي  

كبسولة
مراجع   كبسولة   مراجع : Cyclophosphamide  
نوع منشور
2000 مجلة Bouligand J, Storme T, Laville I, Mercier L, Oberlin O, Vassal J, Bourget Ph, Paci A.
Quality control and stability study using HPTLC: applications to cyclophosphamide in various pharmaceutical products.
J Pharm Biomed Anal 2005 ; 38: 180-185.

  Mentions Légales