Posledná aktualizácia :
27/11/2025
Protinádorová liečba   Cyclophosphamide  
Kapsula
Injekcia Perorálny roztok
Stabilita farmaceutických prípravkov Stabilita v zmesiach Faktory ovplyvňujúce stabilitu Kompatibility Odkazy na literatúru PDF
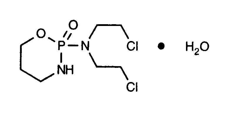
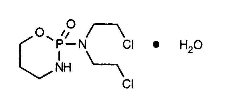
   Chemický vzorec  

Kapsula
Odkazy na literatúru   Kapsula   Odkazy na literatúru : Cyclophosphamide  
Typ Publikácia
2000 Časopis Bouligand J, Storme T, Laville I, Mercier L, Oberlin O, Vassal J, Bourget Ph, Paci A.
Quality control and stability study using HPTLC: applications to cyclophosphamide in various pharmaceutical products.
J Pharm Biomed Anal 2005 ; 38: 180-185.

  Mentions Légales