Poslední aktualizace :
27/11/2025
vėžio narkotikų   Cyclophosphamide  
Kapsulė
Geriamas tirpalas Įpurškimas
Stabilumas farmacinių preparatų Mišinių stabilumas Stabilumą lemiantys veiksniai Suderinamumas Bibliografija pdf
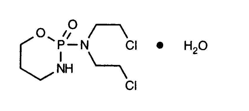
   Cheminė sandara  

Kapsulė
Bibliografija   Kapsulė   Bibliografija : Cyclophosphamide  
tipas leidinys
2000 Žurnalas Bouligand J, Storme T, Laville I, Mercier L, Oberlin O, Vassal J, Bourget Ph, Paci A.
Quality control and stability study using HPTLC: applications to cyclophosphamide in various pharmaceutical products.
J Pharm Biomed Anal 2005 ; 38: 180-185.

  Mentions Légales