Utolsó frissítés :
27/11/2025
rákellenes gyógyszer   Cyclophosphamide  
kapszula
belsőleges oldat Injekció
Stabilitása gyógyszerészeti készítmények A keverékek stabilitása Stabilitást befolyásoló tényezők Kompatibilitás Irodalom pdf
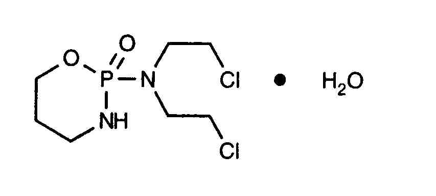
   Kémiai szerkezet   

kapszula
Irodalom   kapszula   Irodalom : Cyclophosphamide  
Type publikáció
2000 Napló Bouligand J, Storme T, Laville I, Mercier L, Oberlin O, Vassal J, Bourget Ph, Paci A.
Quality control and stability study using HPTLC: applications to cyclophosphamide in various pharmaceutical products.
J Pharm Biomed Anal 2005 ; 38: 180-185.

  Mentions Légales