Последно актуализиране :
27/11/2025
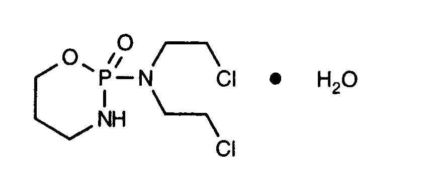
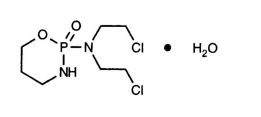
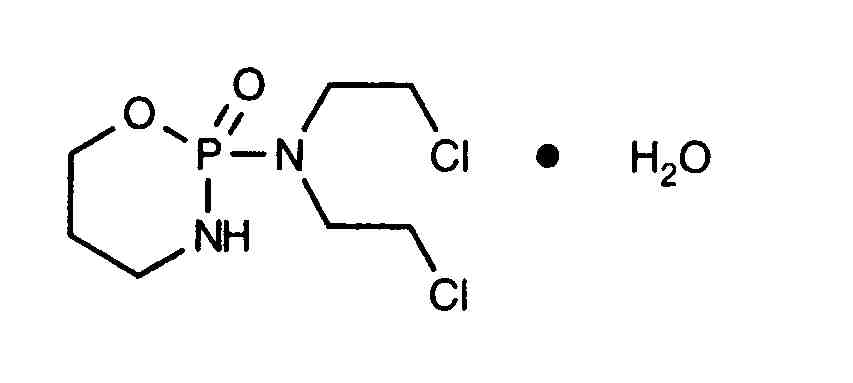
противораково лекарство   Cyclophosphamide  
Капсула
Инжекция/Инжекционен Орален разтвор
Стабилност на лекарствени препарати Стабилност на смеси Фактори, повлияващи стабилността Съвместимост Библиография Pdf
   Химична структура  

Капсула
Библиография   Капсула   Библиография : Cyclophosphamide  
Вид Публикация
2000 Списание Bouligand J, Storme T, Laville I, Mercier L, Oberlin O, Vassal J, Bourget Ph, Paci A.
Quality control and stability study using HPTLC: applications to cyclophosphamide in various pharmaceutical products.
J Pharm Biomed Anal 2005 ; 38: 180-185.

  Mentions Légales