Ultimo aggiornamento :
18/03/2026
farmaco contro il cancro   Cyclophosphamide  
Capsula
Iniezione Soluzione orale
Stabilità dei preparati farmaceutici Stabilità in miscela Fattori che influenzano la stabilità Compatibilità Bibliografia pdf
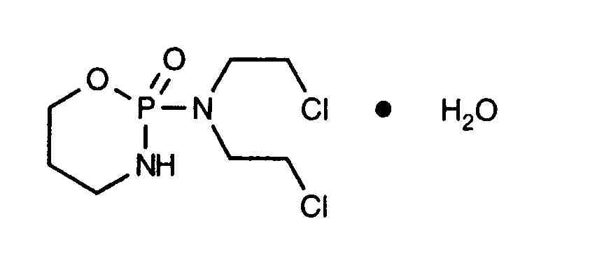
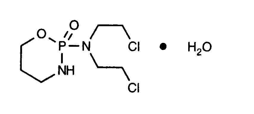
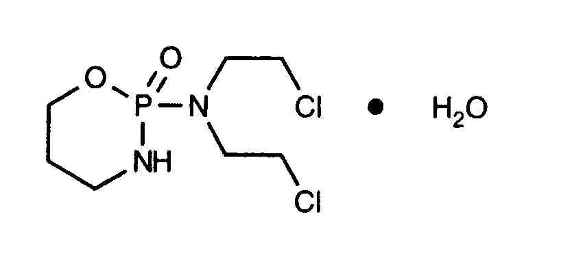
   Struttura chimica  

Capsula
Bibliografia   Capsula   Bibliografia : Cyclophosphamide  
tipo pubblicazione
2000 Rivista Bouligand J, Storme T, Laville I, Mercier L, Oberlin O, Vassal J, Bourget Ph, Paci A.
Quality control and stability study using HPTLC: applications to cyclophosphamide in various pharmaceutical products.
J Pharm Biomed Anal 2005 ; 38: 180-185.

  Mentions Légales