Letztes “update” :
27/11/2025
Antikrebsmittel   Cyclophosphamide  
Kapsel (Singular !)
Injektion Lösung zum Einnehmen
Stabilität von pharmazeutischen Präparaten Gemengestabilität Stabilitätbeeinflussende Faktoren Kompatibilitäten Literaturverzeichnis pdf
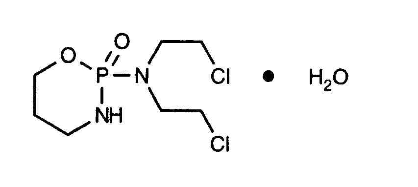
   Chemische Struktur  

Kapsel (Singular !)
Literaturverzeichnis   Kapsel (Singular !)   Literaturverzeichnis : Cyclophosphamide  
Typ Veröffentlichung
2000 Zeitung Bouligand J, Storme T, Laville I, Mercier L, Oberlin O, Vassal J, Bourget Ph, Paci A.
Quality control and stability study using HPTLC: applications to cyclophosphamide in various pharmaceutical products.
J Pharm Biomed Anal 2005 ; 38: 180-185.

  Mentions Légales