Cập nhật lần cuối :
18/03/2026
Kháng sinh   Tobramycin sulfate  
Khí dung
Dạng tiêm Dung dịch uống Thuốc nhỏ mắt
Tính ổn định của các chế phẩm Độ ổn định khi trộn lẫn Những yếu tố ảnh hưởng đến độ ổn định Khả năng tương thích Tài liệu tham khảo Pdf
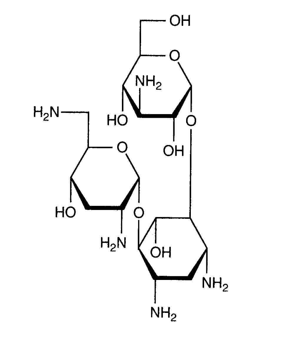
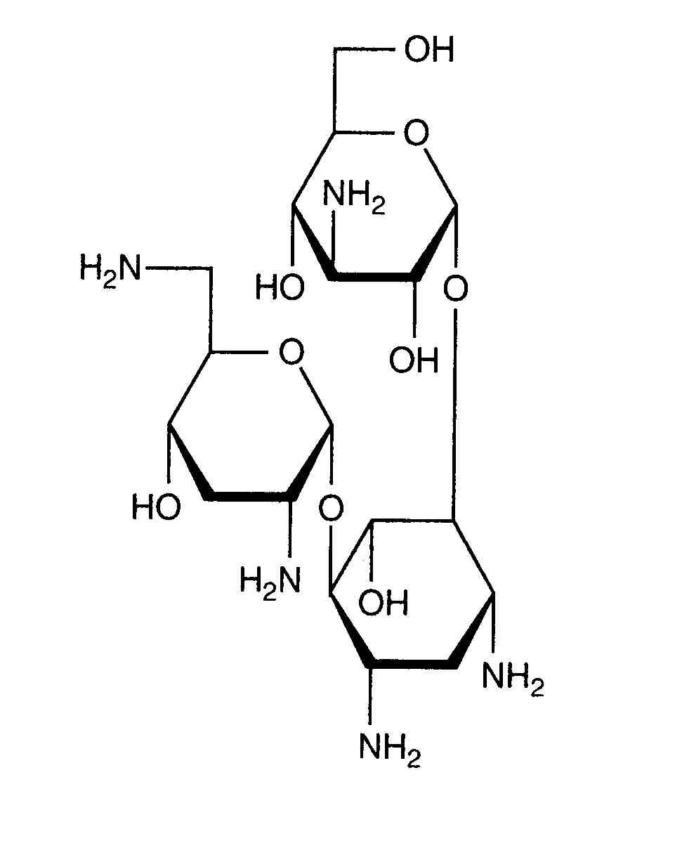
   Cấu trúc hóa học  

Khí dung
Tính ổn định của các chế phẩm   Khí dung   Tính ổn định của các chế phẩm : Tobramycin sulfate     
Bao bì Nguyên bản Tá dược Nhiệt độ Bảo quản Thời gian ổn định Mục lục
Thủy tinh Lọ thuốc tiêm 2400 mg
Nebcin®
NaCl 0,45% >> 30 ml
25°C Không rõ
195 Ngày
3431
Cấp độ bằng chứng A

Thủy tinh Lọ thuốc tiêm 2400 mg
Nebcin®
NaCl 0,45% >> 30 ml
4°C Không rõ
195 Ngày
3431
Cấp độ bằng chứng A


  Mentions Légales