Poslední aktualizace :
27/11/2025
Antibiotikas   Tobramycin sulfate  
Aerozolis
Akių lašai Geriamas tirpalas Įpurškimas
Stabilumas farmacinių preparatų Mišinių stabilumas Stabilumą lemiantys veiksniai Suderinamumas Bibliografija pdf
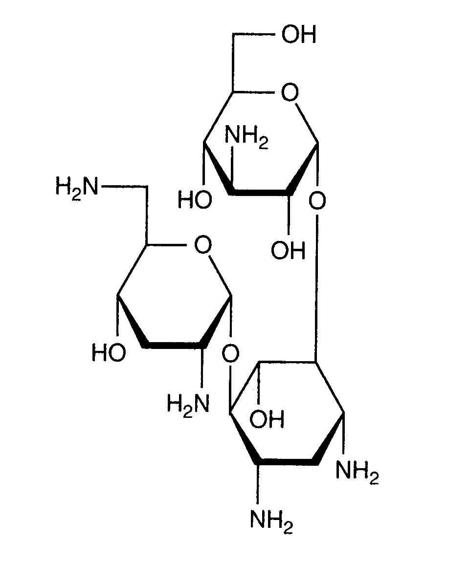
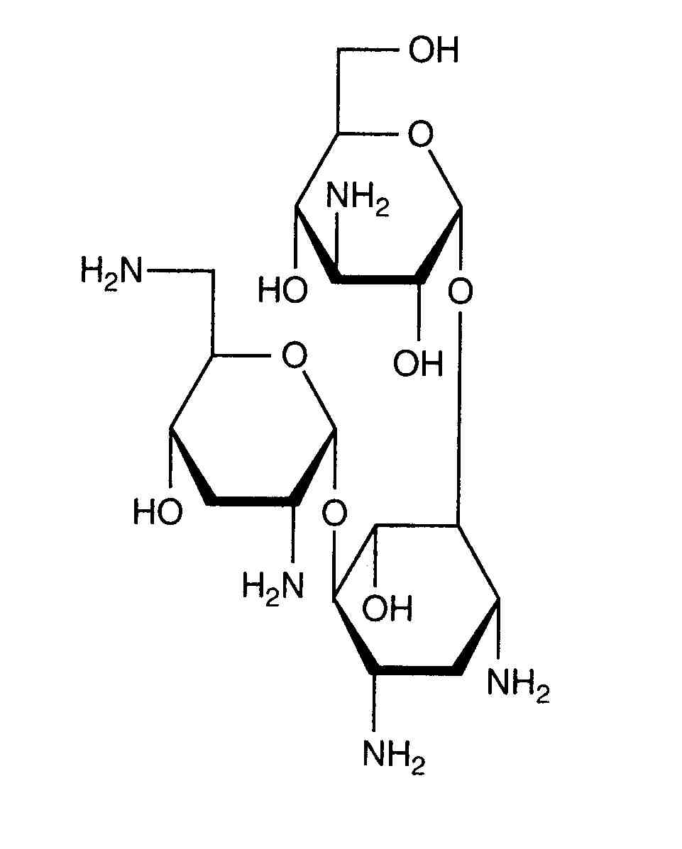
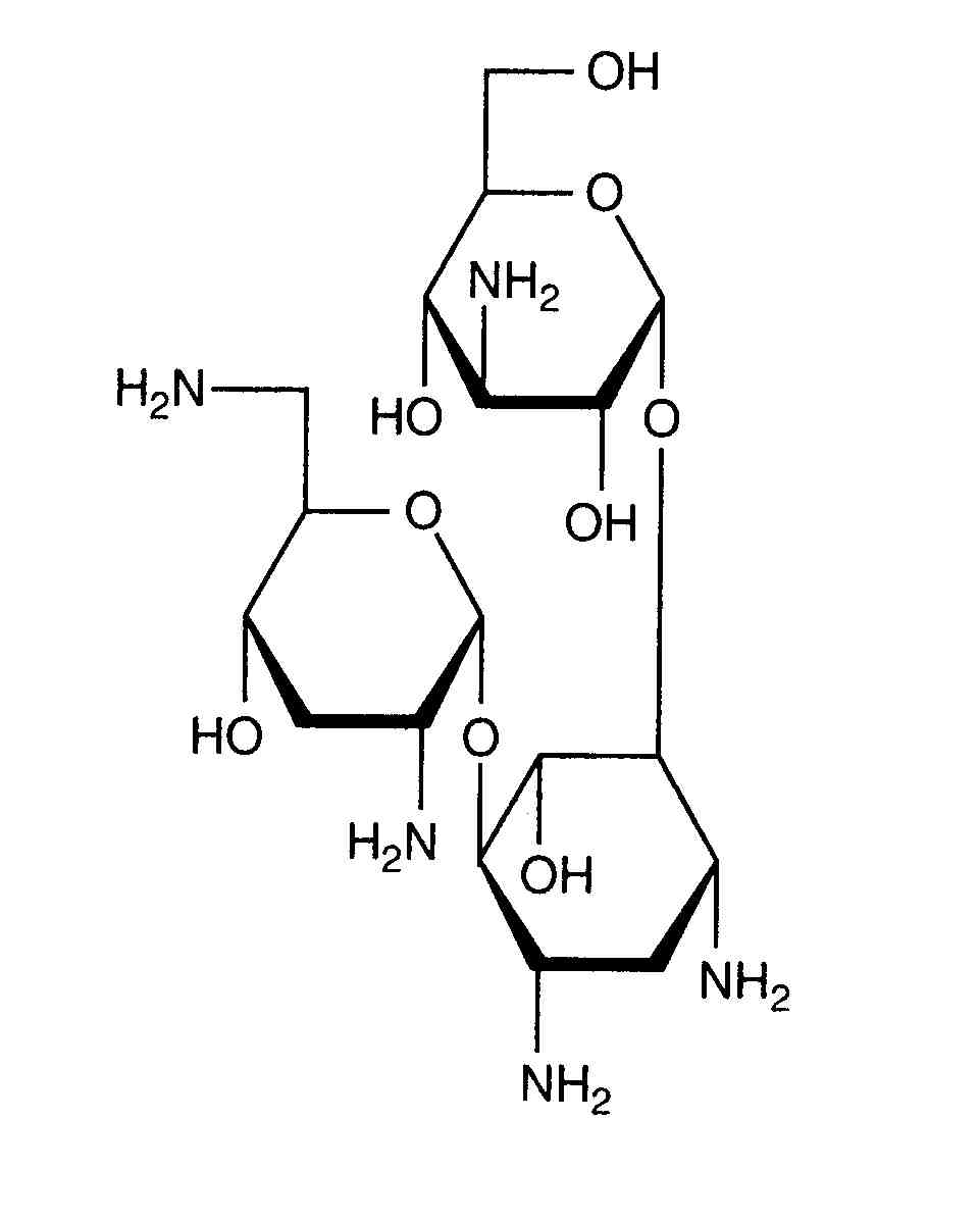
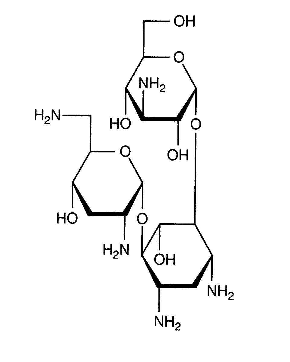
   Cheminė sandara  

Aerozolis
Stabilumas farmacinių preparatų   Aerozolis   Stabilumas farmacinių preparatų : Tobramycin sulfate     
Pakuotė Origine Ekscipientas Temperatūra Laikymas Stabilumo trukmė Nuorodos
Stiklas Vaistų buteliukas injekcijoms 2400 mg
Nebcin®
NaCl 0,45 % >> 30 ml
25°C Nenurodyta
195 Diena
3431
Bandymo lygis A

Stiklas Vaistų buteliukas injekcijoms 2400 mg
Nebcin®
NaCl 0,45 % >> 30 ml
4°C Nenurodyta
195 Diena
3431
Bandymo lygis A


  Mentions Légales