zadnja posodobitev :
27/11/2025
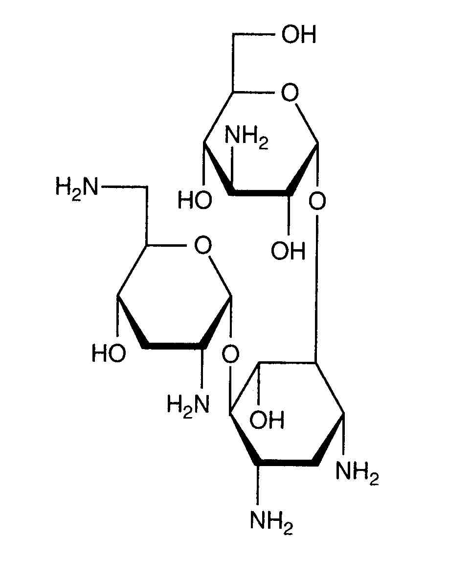
Antibiotik   Tobramycin sulfate  
Aerosol
Brizgalka Kapljice za oči Peroralna raztopina
Stabilnost farmacevtskih preparatov Stabilnost mešanice Faktorji, ki vplivajo na stabilnost Kompatibilnost Viri pdf
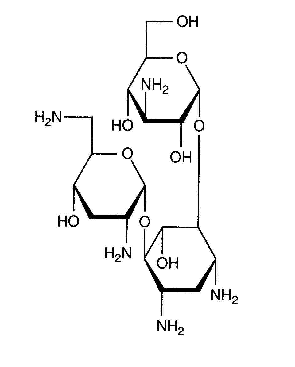
   Kemična formula  

Aerosol
Stabilnost farmacevtskih preparatov   Aerosol   Stabilnost farmacevtskih preparatov : Tobramycin sulfate     
Vsebnik Origine Ekscipient Temperatura Shranjevanje Trajanje stabilnosti Viri
Steklo Medicinske steklenica za injiciranje 2400 mg
Nebcin®
NaCl 0.45% >> 30 ml
25°C Nedoločeno
195 Dan
3431
 Stopnja dokaza A

Steklo Medicinske steklenica za injiciranje 2400 mg
Nebcin®
NaCl 0.45% >> 30 ml
4°C Nedoločeno
195 Dan
3431
 Stopnja dokaza A


  Mentions Légales