Pēdējā atjaunošana :
18/03/2026
Antibiotika   Tobramycin sulfate  
Aerosols
Acu pilieni Injekcija Orāls šķīdums
Stabilitāte farmaceitisko preparātu Maisījuma stabilitāte Stabilitāti ietekmējoši faktori Saderība Literatūras saraksts pdf
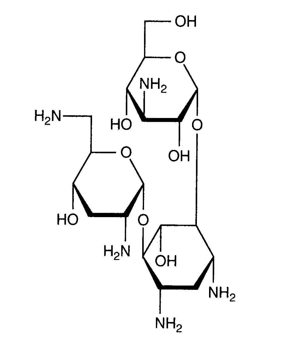
   Ķīmiskā uzbūve   

Aerosols
Stabilitāte farmaceitisko preparātu   Aerosols   Stabilitāte farmaceitisko preparātu : Tobramycin sulfate     
Iepakojums Origine Palīgviela Temperatūra Glabāšana Stabilitātes ilgums Literatūras saraksts
Stikls Medicīniskā pudele injekcijām 2400 mg
Nebcin®
NaCl 0.45% >> 30 ml
25°C Nav specifisks
195 Diena
3431
Pierādījumu līmenis A

Stikls Medicīniskā pudele injekcijām 2400 mg
Nebcin®
NaCl 0.45% >> 30 ml
4°C Nav specifisks
195 Diena
3431
Pierādījumu līmenis A


  Mentions Légales