Останнє оновлення :
27/11/2025
Антибіотик   Tobramycin sulfate  
аерозоль
ін'єкція Очні краплі Розчин для перорального застосування
Стабільність фармацевтичних препаратів Стійкість сумішей Фактори, що впливають на стабільність Сумісність Список літератури pdf
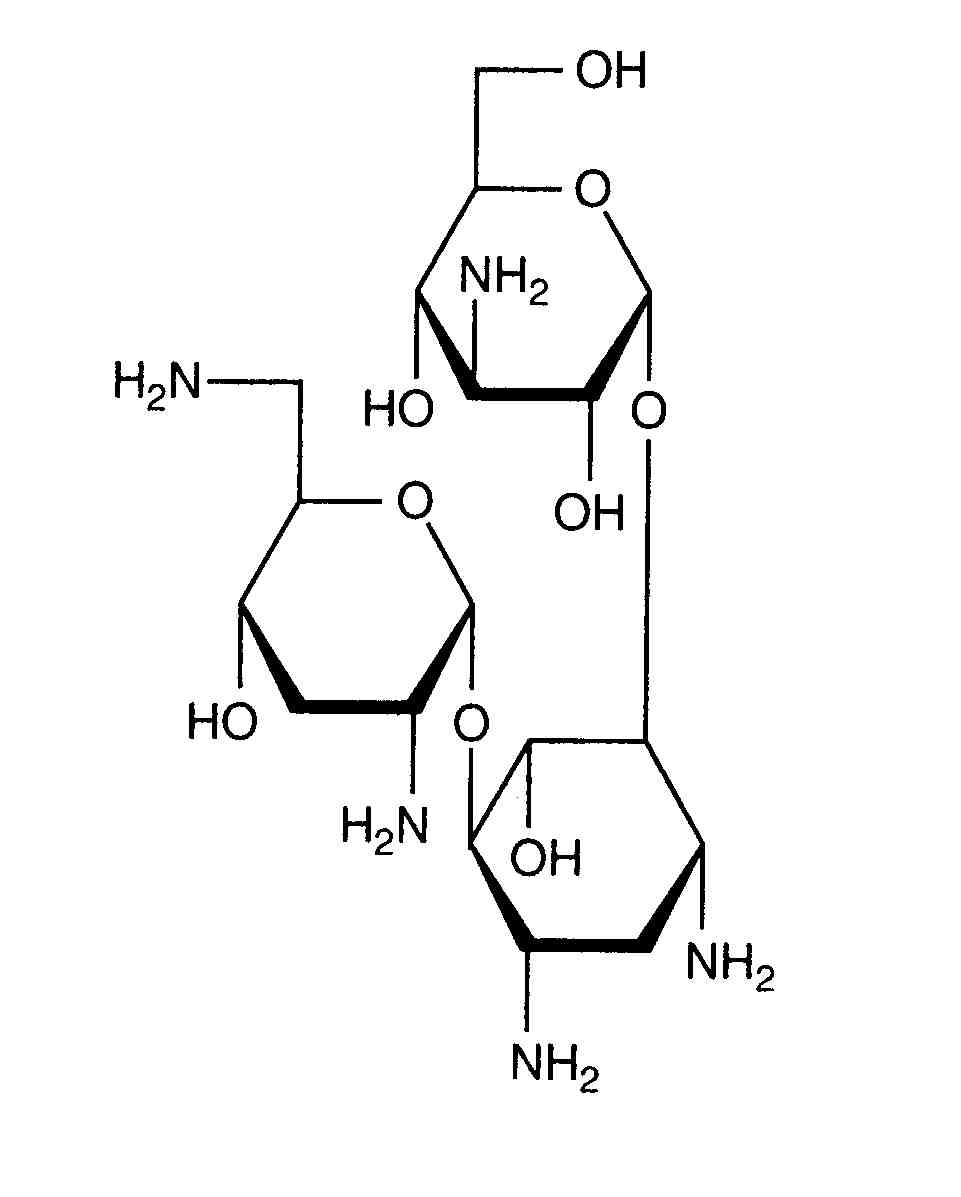
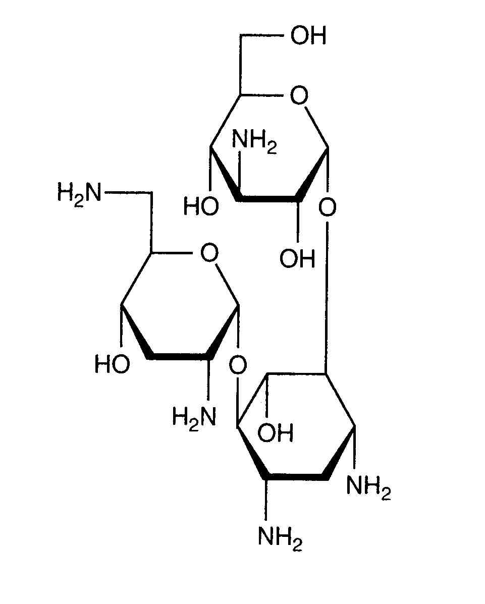
   Хімічна структура  

аерозоль
Стабільність фармацевтичних препаратів   аерозоль   Стабільність фармацевтичних препаратів : Tobramycin sulfate     
Контейнер Origine допоміжна речовина температура Зберігання Тривалість стабільності Список літератури
скло Пляшка для ін'єкцій 2400 mg
Nebcin®
NaCl 0.45% >> 30 ml
25°C Не визначено
195 День
3431
Рівень доказовості А

скло Пляшка для ін'єкцій 2400 mg
Nebcin®
NaCl 0.45% >> 30 ml
4°C Не визначено
195 День
3431
Рівень доказовості А


  Mentions Légales