viimane versioon :
27/11/2025
antibiootikum   Tobramycin sulfate  
aerosool
Silmatilgad Süsteravim suukaudne lahus
Stabiilsust ravimpreparaadid Stabiilsust mõjutavad tegurid stabiilsust mõjutavad faktorid Sobimatus Viited pdf
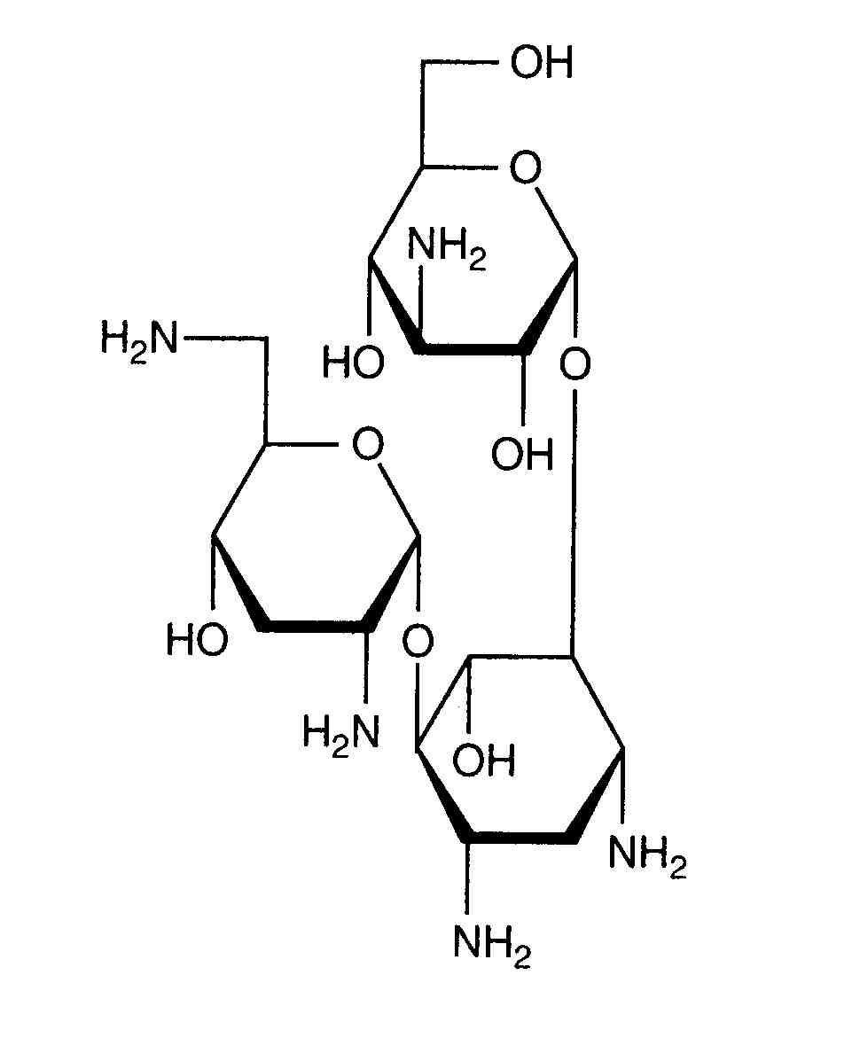
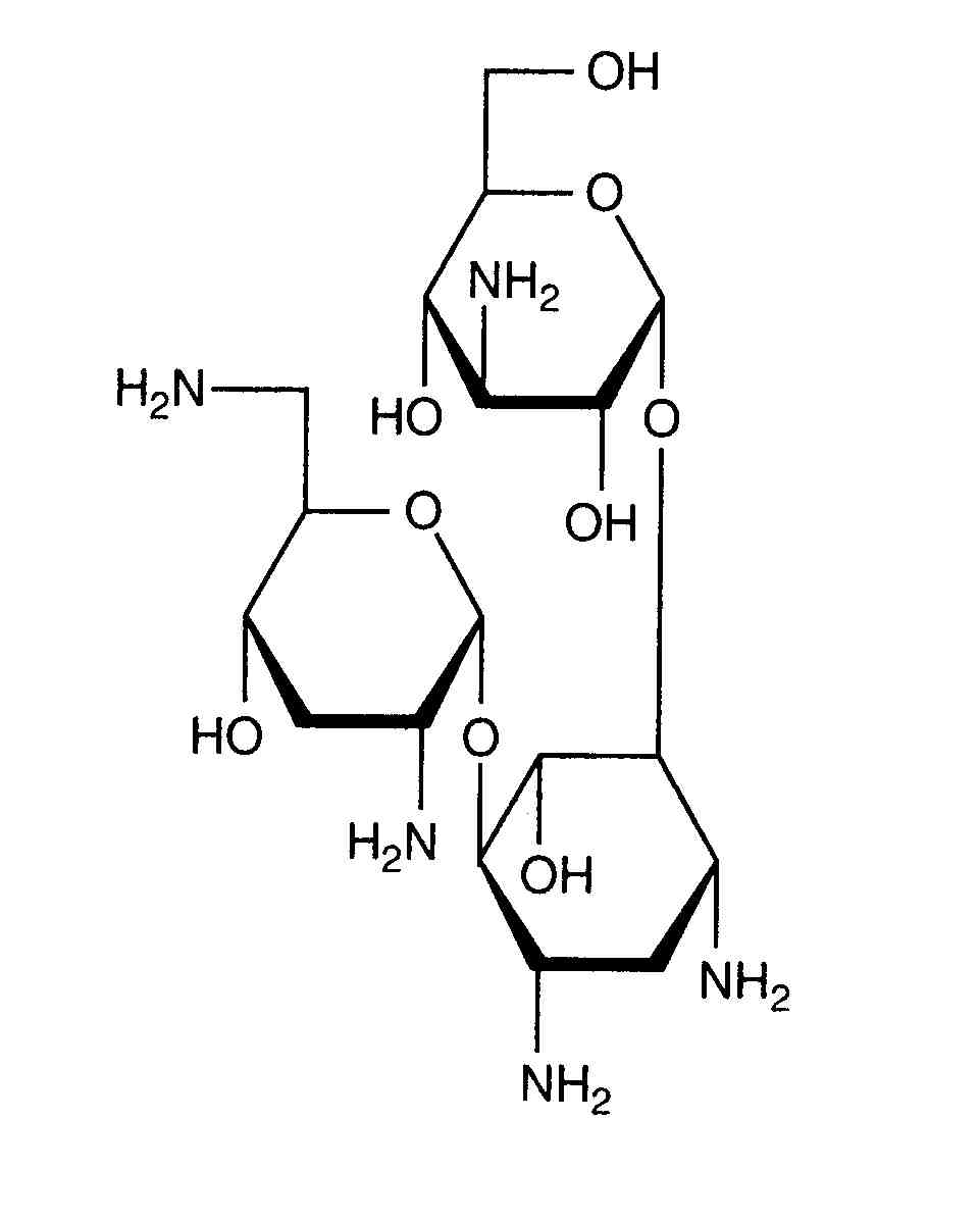
   keemiline struktuur  

aerosool
Stabiilsust ravimpreparaadid   aerosool   Stabiilsust ravimpreparaadid : Tobramycin sulfate     
konteiner Origine  abiaine temperatuur ladustamine Stabiilsuse kestus Viited
klaas Süsteravimi viaal 2400 mg
Nebcin®
NaCl 0.45% >> 30 ml
25°C pole täpsustatud
195 päev
3431
Tõenduspõhisuse tase A

klaas Süsteravimi viaal 2400 mg
Nebcin®
NaCl 0.45% >> 30 ml
4°C pole täpsustatud
195 päev
3431
Tõenduspõhisuse tase A


  Mentions Légales