آخر تحديث :
18/03/2026
مضاد حيوي   Tobramycin sulfate  
الأيروصولات
حقن عن طريق الفم  قطرات العين
استقرار المستحضرات الصيدلانية استقرار مخاليط العوامل التي تؤثر على الاستقرار التوافق مراجع pdf
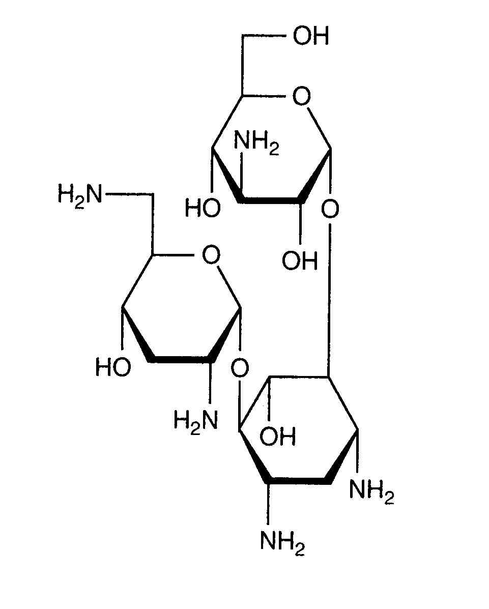
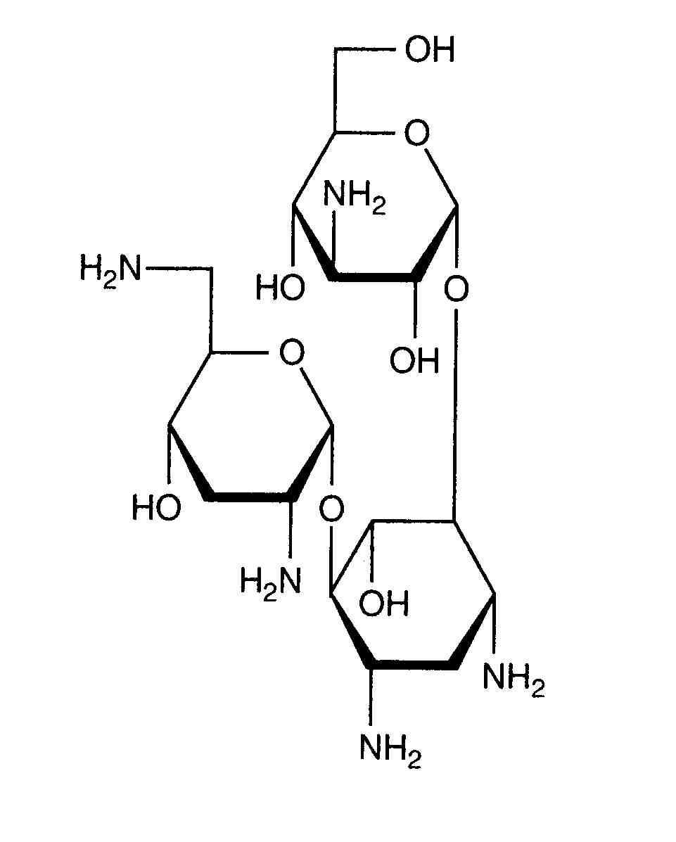
   التركيب الكيميائي  

الأيروصولات
استقرار المستحضرات الصيدلانية   الأيروصولات   استقرار المستحضرات الصيدلانية : Tobramycin sulfate     
حاوية Origine الاضافات درجة الحرارة تخزين مدة الاستقرار مراجع
زجاج زجاجة الدواء للحقن 2400 mg
Nebcin®
كلوريد الصوديوم 0.45 >> 30 ml
25°C لم يتم تحديد
195 يوم
3431
A مستوى الأدلة

زجاج زجاجة الدواء للحقن 2400 mg
Nebcin®
كلوريد الصوديوم 0.45 >> 30 ml
4°C لم يتم تحديد
195 يوم
3431
A مستوى الأدلة


  Mentions Légales