Poslední aktualizace :
27/11/2025
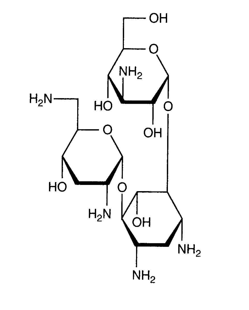
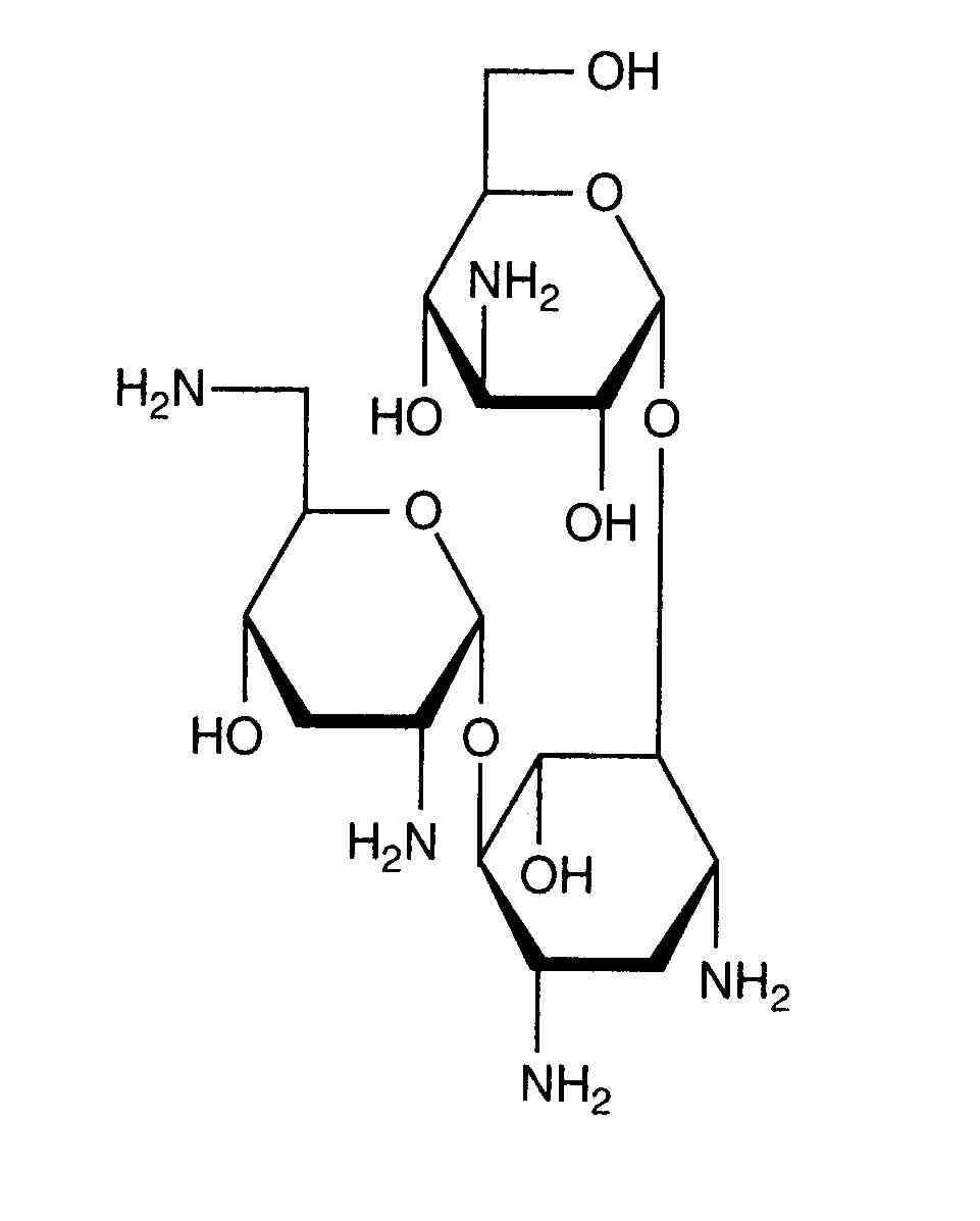
Antibiotikum   Tobramycin sulfate  
Aerosol
Humbuk injekce Perorální roztok
Stabilita farmaceutických přípravků Stabilita směsí Faktory ovlivňující stabilitu Kompatibilita Odkazy pdf
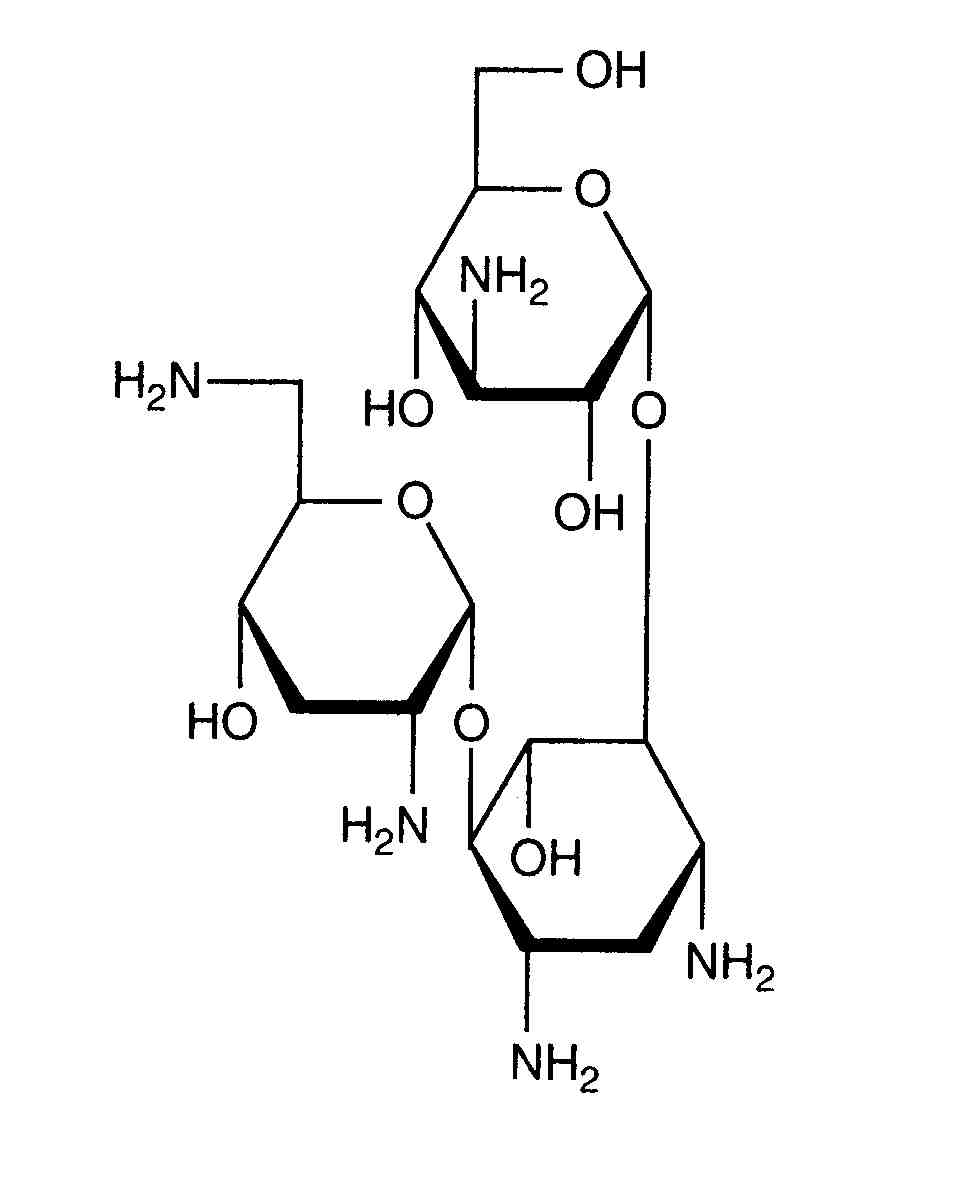
   Chemický vzorec  

Aerosol
Stabilita farmaceutických přípravků   Aerosol   Stabilita farmaceutických přípravků : Tobramycin sulfate     
Obal Origine Pomocné látky Teplota Uchovávání Trvání stability Odkazy
Sklo Lékovka pro injekci 2400 mg
Nebcin®
NaCl 0.45% >> 30 ml
25°C Nespecifikováno
195 Den
3431
Úroveň zkoušky A

Sklo Lékovka pro injekci 2400 mg
Nebcin®
NaCl 0.45% >> 30 ml
4°C Nespecifikováno
195 Den
3431
Úroveň zkoušky A


  Mentions Légales