Dernière mise à jour :
18/03/2026
Antibiotique   Tobramycin sulfate  
Aérosol
Collyre injectable Solution buvable
Stabilité des préparations Stabilité en mélange Facteur influençant la stabilité Compatibilités Bibliographie pdf
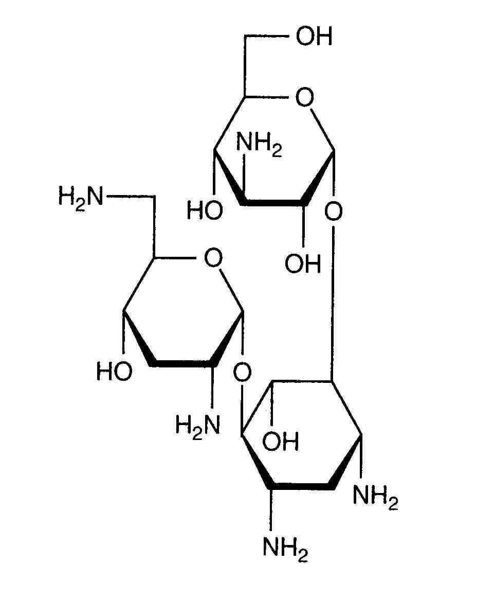
   Structure chimique  

Aérosol
Stabilité des préparations   Aérosol   Stabilité des préparations : Tobramycin sulfate     
Contenant Origine Excipient Température Conservation Durée de stabilité Bibliographie
Verre Flacon injectable 2400 mg
Nebcin®
NaCl 0.45% >> 30 ml
25°C Non précisée
195 Jour
3431
Niveau de preuve A

Verre Flacon injectable 2400 mg
Nebcin®
NaCl 0.45% >> 30 ml
4°C Non précisée
195 Jour
3431
Niveau de preuve A


  Mentions Légales