Laatste update :
27/11/2025
Antibioticum   Tobramycin sulfate  
Aerosol
injecteerbaar geneesmiddel Oogwater Orale Oplossing
Stabiliteit van farmaceutische preparaten Stabiliteit in mengsels Factoren die de stabiliteit beïnvloeden Verenigbaarheden Literatuur pdf
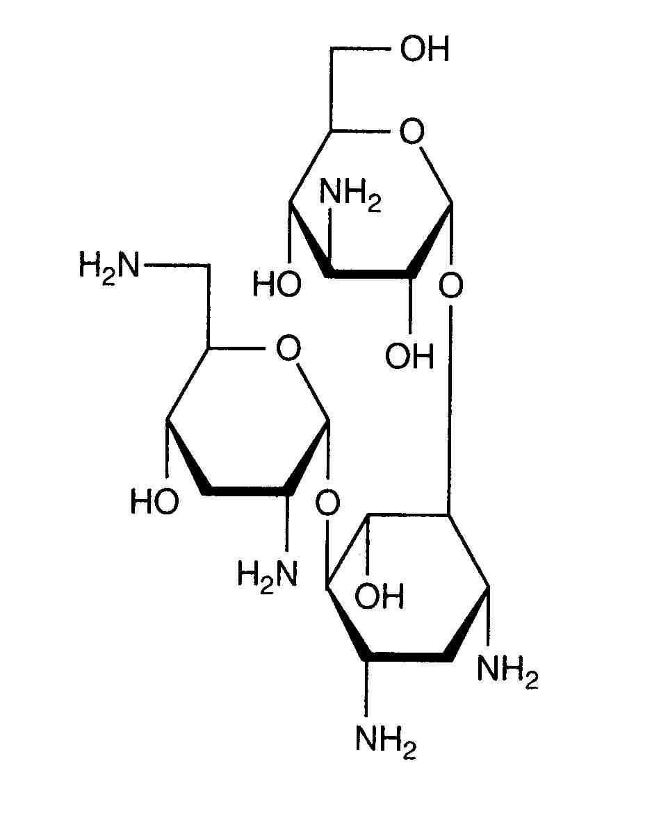
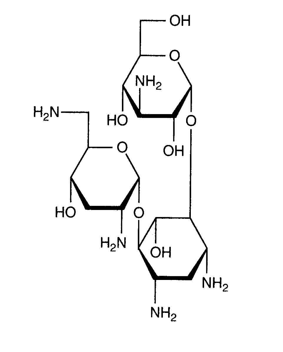
   Molecuulstructuur  

Aerosol
Stabiliteit van farmaceutische preparaten   Aerosol   Stabiliteit van farmaceutische preparaten : Tobramycin sulfate     
Verpakking Origine  ikˈsipēənt hulpstof Temperatuur Bewaring Duur van de stabiliteit Literatuur
Glas Geneeskunde fles voor injectie 2400 mg
Nebcin®
NaCl 0.45% >> 30 ml
25°C Niet gespecificeerd
195 Dag
3431
Bewijsniveau A

Glas Geneeskunde fles voor injectie 2400 mg
Nebcin®
NaCl 0.45% >> 30 ml
4°C Niet gespecificeerd
195 Dag
3431
Bewijsniveau A


  Mentions Légales