Senaste uppdateringen :
18/03/2026
Antiparasitärt medel   Artesunate  
Stolpiller
injektion
Stabilitet av läkemedel Stabilitet i blandningar Faktorer som påverkar stabiliteten Kompatibilitet Hänvisningar pdf
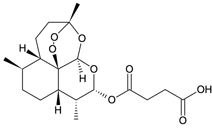
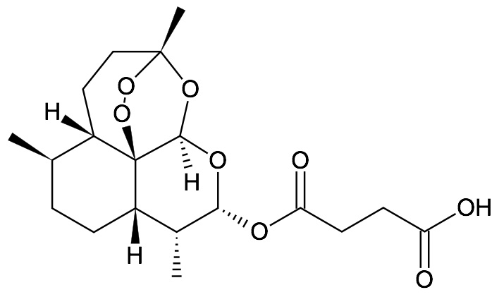
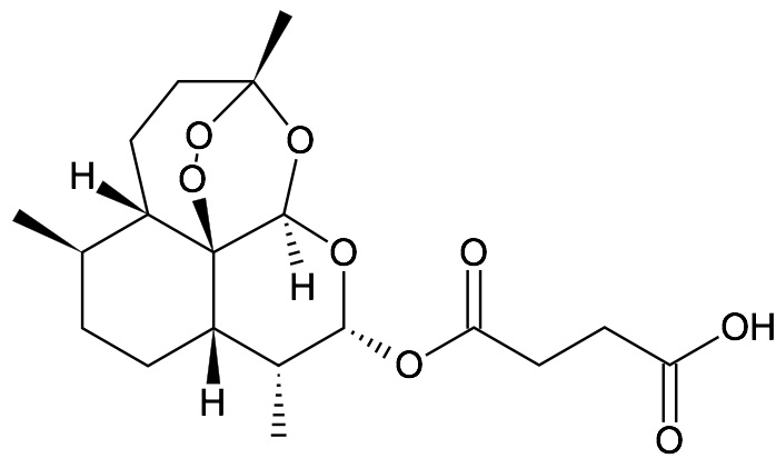
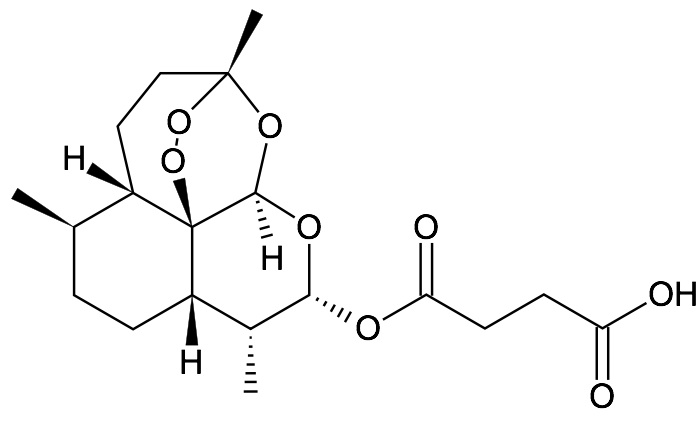
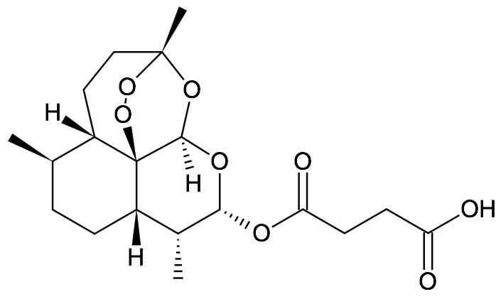
   Molekylstruktur  

Stolpiller
Kompatibilitet   Stolpiller   Kompatibilitet : Artesunate              
Ingen uppgift

  Mentions Légales