Última actualización :
18/03/2026
Antiparasitario   Artesunate  
Supositorio
Inyectables
La estabilidad de las preparaciones farmacéuticas Estabilidad en mezcla Factores que influyen sobre la estabilidad Compatibilidades Bibliografía pdf
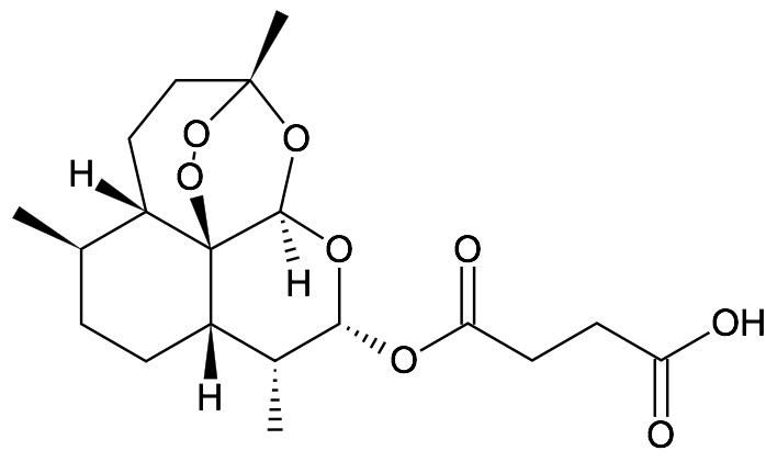
   Estructura química  

Supositorio
Compatibilidades   Supositorio   Compatibilidades : Artesunate              
Ausencia de datos

  Mentions Légales