最新更新 :
18/03/2026
抗寄生虫薬   Artesunate  
坐薬
注射薬
調剤時の安定性 混合時の安定性 安定性に影響する因子 互換性 引用文献 PDF
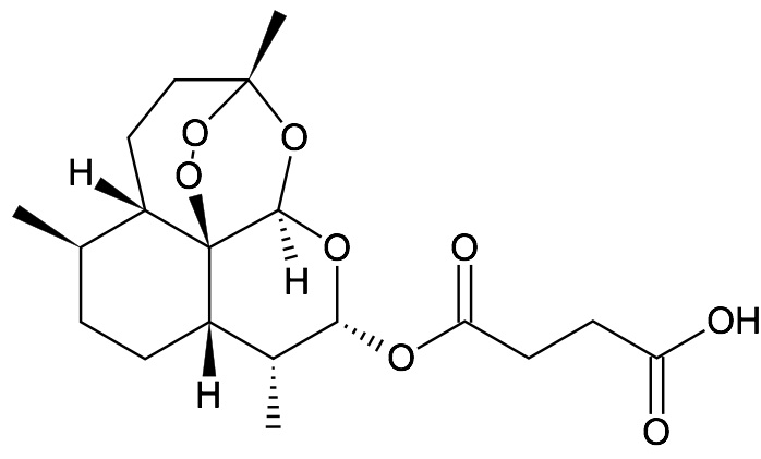
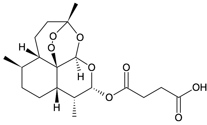
   化学構造  

坐薬
互換性   坐薬   互換性 : Artesunate              
データなし

  Mentions Légales