Laatste update :
18/03/2026
Antiparasiticum   Artesunate  
zetpil
injecteerbaar geneesmiddel
Stabiliteit van farmaceutische preparaten Stabiliteit in mengsels Factoren die de stabiliteit beïnvloeden Verenigbaarheden Literatuur pdf
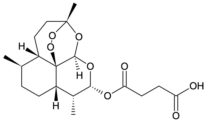
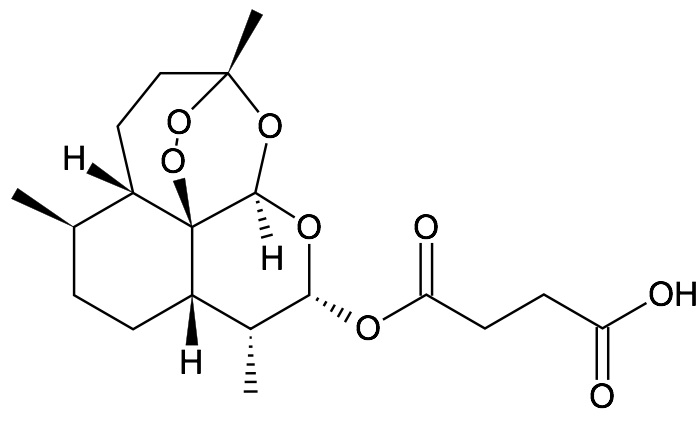
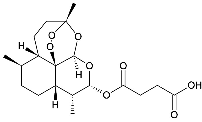
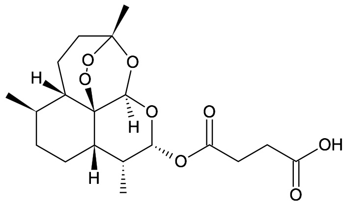
   Molecuulstructuur  

zetpil
Verenigbaarheden   zetpil   Verenigbaarheden : Artesunate              
geen gegevens

  Mentions Légales