Ostatnia aktualizacja :
18/03/2026
Lek przeciwpasożytniczy   Artesunate  
Czopek
Injekcje
Stabilność preparatów farmaceutycznych Trwałość w mieszaninie Czynnik wpływający na trwałość Zgodność Bibliografia pdf
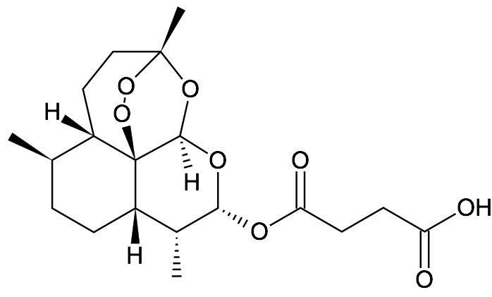
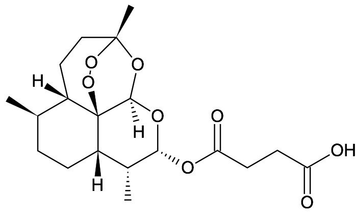
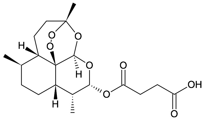
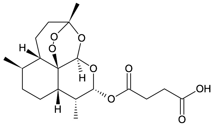
   Struktura chemiczna  

Czopek
Zgodność   Czopek   Zgodność : Artesunate              
Brak danych

  Mentions Légales