viimane versioon :
18/03/2026
Parasiidivastane ravim   Artesunate  
ravimküünal
Süsteravim
Stabiilsust ravimpreparaadid Stabiilsust mõjutavad tegurid stabiilsust mõjutavad faktorid Sobimatus Viited pdf
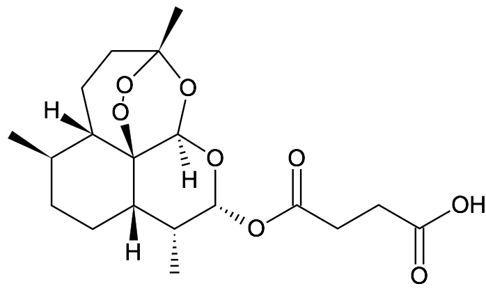
   keemiline struktuur  

ravimküünal
Sobimatus   ravimküünal   Sobimatus : Artesunate              
andmed puuduvad

  Mentions Légales