Letztes “update” :
18/03/2026
Antiparasitär   Artesunate  
Zäpfchen
Injektion
Stabilität von pharmazeutischen Präparaten Gemengestabilität Stabilitätbeeinflussende Faktoren Kompatibilitäten Literaturverzeichnis pdf
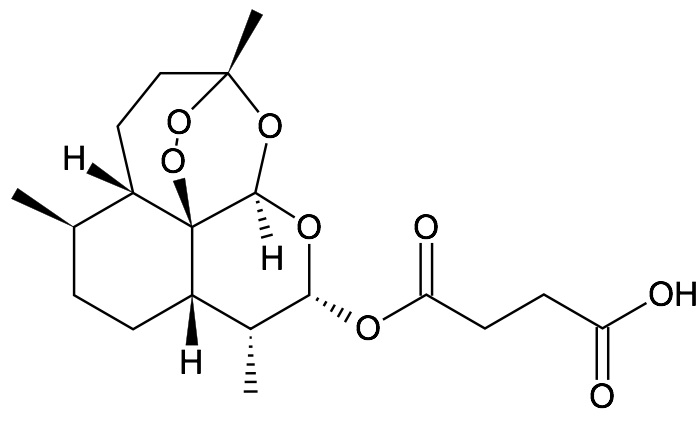
   Chemische Struktur  

Zäpfchen
Kompatibilitäten   Zäpfchen   Kompatibilitäten : Artesunate              
Keine Daten

  Mentions Légales