Последнее обновление :
18/03/2026
Противопаразитарное средство   Artesunate  
Суппозиторий (свеча)
Инъекция
Стабильность фармацевтических препаратов Стабильность смесей Факторы, которые влияют на стабильность Совместимость Библиография pdf
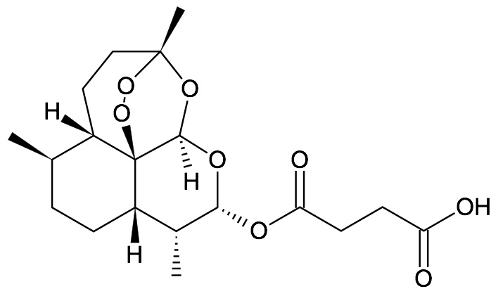
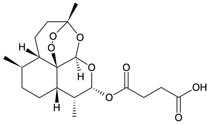
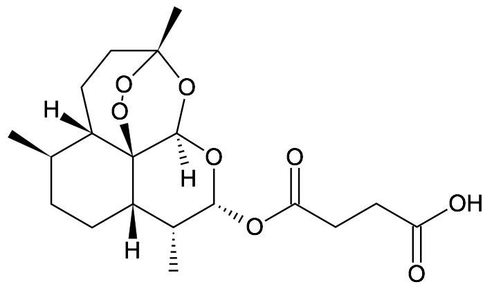
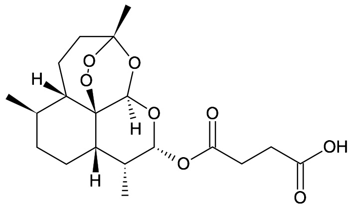
   Химическая структура  

Суппозиторий (свеча)
Совместимость   Суппозиторий (свеча)   Совместимость : Artesunate              
данных нет

  Mentions Légales