Last update :
18/03/2026
Antiparasitic   Artesunate  
suppository
injection
Stability of pharmaceutical preparations Stability of mixtures Factors which affect stability Compatibility References pdf
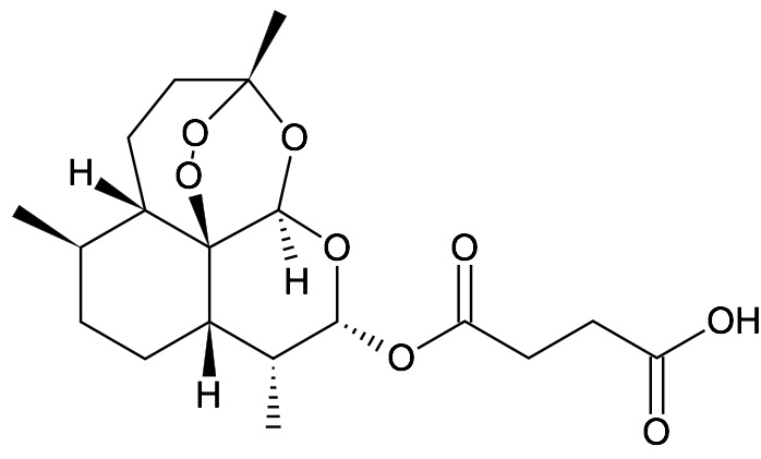
   Chemical structure  

suppository
Compatibility   suppository   Compatibility : Artesunate              
No data

  Mentions Légales