zadnja posodobitev :
18/03/2026
Zdravilo proti parazitom   Artesunate  
Svečka
Brizgalka
Stabilnost farmacevtskih preparatov Stabilnost mešanice Faktorji, ki vplivajo na stabilnost Kompatibilnost Viri pdf
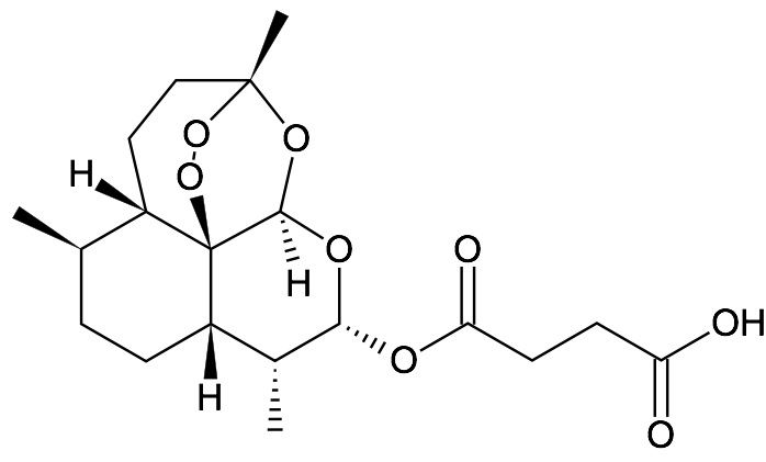
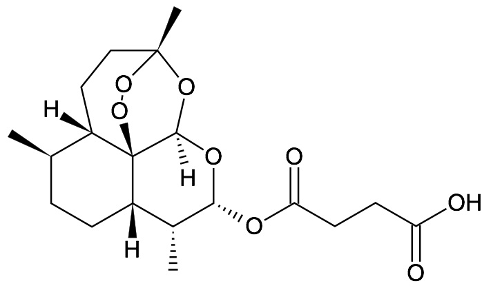
   Kemična formula  

Svečka
Kompatibilnost   Svečka   Kompatibilnost : Artesunate              
ni podatka

  Mentions Légales