Zadnji put ažurirano :
18/03/2026
protuparazitski   Artesunate  
čepić
injekcija
Stabilnost farmaceutskih pripravaka Stabilnost mješavine Stabilizacijski faktor Kompatibilnosti Bibliografija pdf
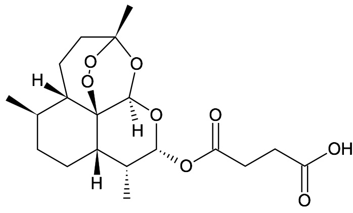
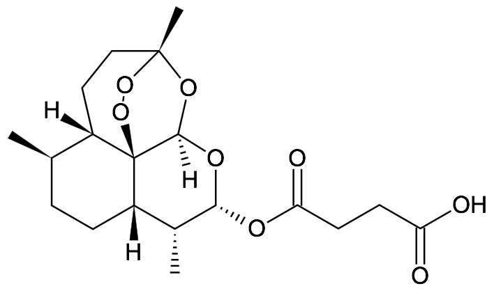
   Kemijska struktura  

čepić
Kompatibilnosti   čepić   Kompatibilnosti : Artesunate              
bez podataka

  Mentions Légales