Останнє оновлення :
05/12/2025
Протигрибковий   Amphotericin B   
Розчин для перорального застосування
ін'єкція аерозоль Ополіскувач ротової порожнини Очні краплі
Стабільність фармацевтичних препаратів Стійкість сумішей Фактори, що впливають на стабільність Сумісність Список літератури pdf
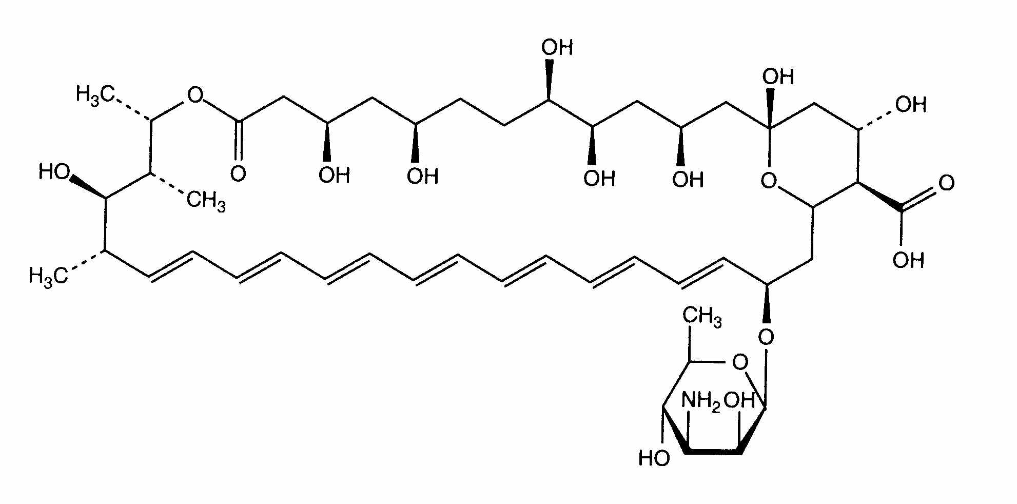
   Хімічна структура  

Розчин для перорального застосування
Стійкість сумішей   Розчин для перорального застосування   Стійкість сумішей : Amphotericin B      
Контейнер допоміжна речовина З'єднання температура Зберігання Тривалість стабільності Список літератури
пластикова пляшка
метилпарабен 9,5 mg
Пропілпарабен 3 mg
Бензоат натрію 10 mg
Метабісульфіт натрію 7,5 mg
Натрію фосфат 132,8 mg
KCl 29,4 mg
Na2HPO4 52, mg
Очищена вода >> 10 ml
Ampho-Moronal® 5 ml
Розчин для перорального застосування   Amphotericin B powder500 mg  ® = ?
Розчин для перорального застосування   Colistin sulfate powder118 mg  ® = ?
Розчин для перорального застосування   Tobramycin sulfate powder121,75 mg  ® = ?
2-8°C
180 День
Берегти від світла 3685

  Mentions Légales