zadnja posodobitev :
27/11/2025
Antimikotik   Amphotericin B   
Peroralna raztopina
Aerosol Brizgalka Kapljice za oči Ustna voda
Stabilnost farmacevtskih preparatov Stabilnost mešanice Faktorji, ki vplivajo na stabilnost Kompatibilnost Viri pdf
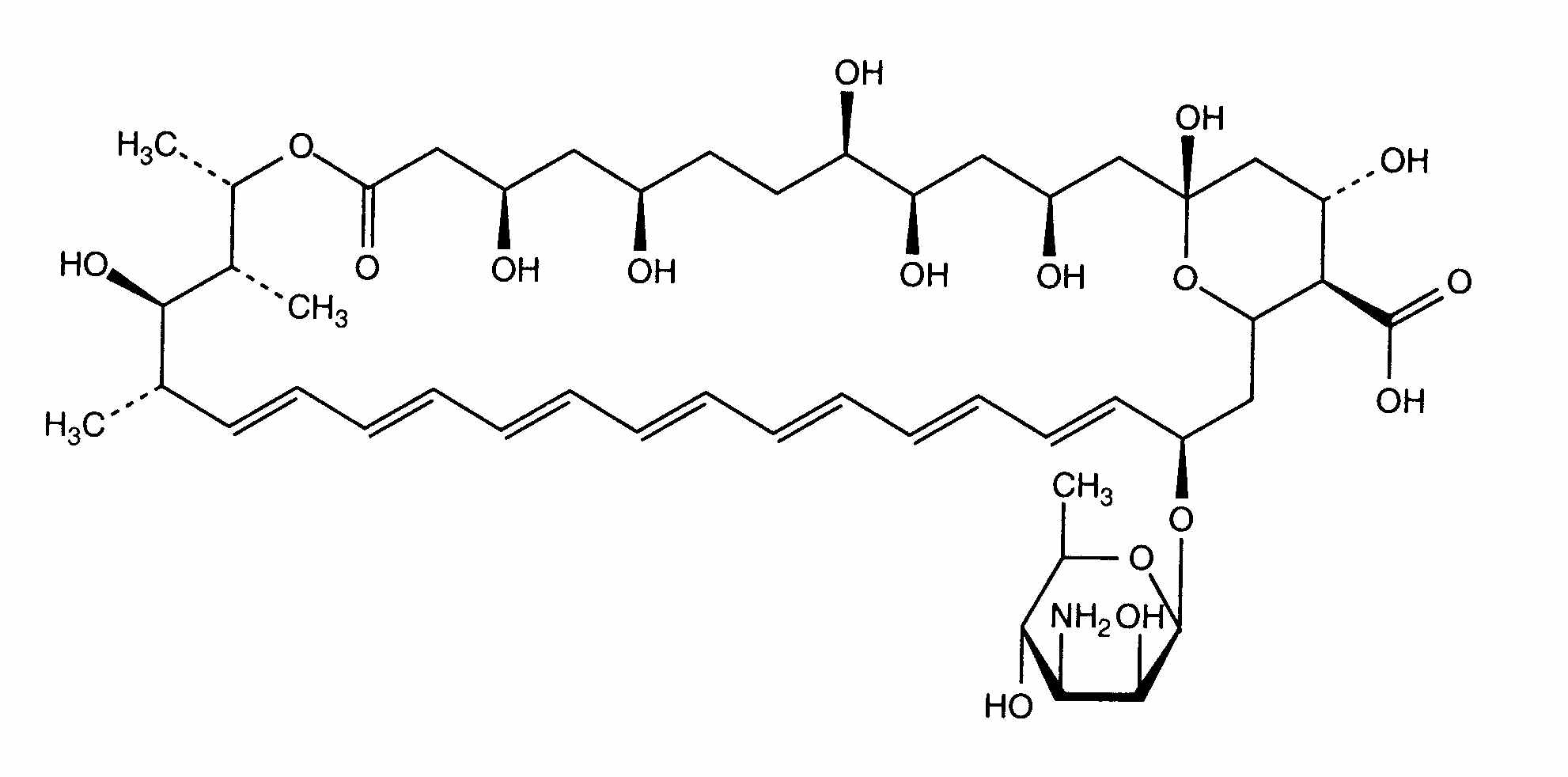
   Kemična formula  

Peroralna raztopina
Stabilnost mešanice   Peroralna raztopina   Stabilnost mešanice : Amphotericin B      
Vsebnik Ekscipient Sestava Temperatura Shranjevanje Trajanje stabilnosti Viri
Plastenka
Metilparaben 9,5 mg
Propilparaben 3 mg
Natrijev benzoat 10 mg
Natrijev metabisulfit 7,5 mg
Natrijev fosfat 132,8 mg
KCl 29,4 mg
Na2HPO4 52, mg
Prečiščena voda >> 10 ml
Ampho-Moronal® 5 ml
Peroralna raztopina   Amphotericin B Prašek500 mg  ® = ?
Peroralna raztopina   Colistin sulfate Prašek118 mg  ® = ?
Peroralna raztopina   Tobramycin sulfate Prašek121,75 mg  ® = ?
2-8°C
180 Dan
Zaščiteno pred svetlobo 3685

  Mentions Légales