viimane versioon :
27/11/2025
Seenevastane ravim   Amphotericin B   
suukaudne lahus
aerosool Silmatilgad Süsteravim Suuloputus lahus
Stabiilsust ravimpreparaadid Stabiilsust mõjutavad tegurid stabiilsust mõjutavad faktorid Sobimatus Viited pdf
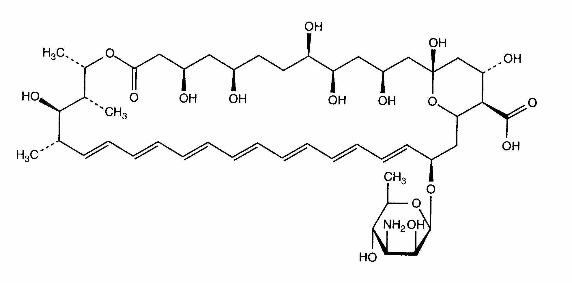
   keemiline struktuur  

suukaudne lahus
Stabiilsust mõjutavad tegurid   suukaudne lahus   Stabiilsust mõjutavad tegurid : Amphotericin B      
konteiner  abiaine ingredient temperatuur ladustamine Stabiilsuse kestus Viited
Plastikpudel
Metüülparabeen 9,5 mg
propüülparabeen 3 mg
naatriumbensoaat 10 mg
Naatriummetabisulfit 7,5 mg
Naatriumfosfaat 132,8 mg
KCl 29,4 mg
Na2HPO4 52, mg
Puhastatud vesi >> 10 ml
Ampho-Moronal® 5 ml
suukaudne lahus   Amphotericin B pulber500 mg  ® = ?
suukaudne lahus   Colistin sulfate pulber118 mg  ® = ?
suukaudne lahus   Tobramycin sulfate pulber121,75 mg  ® = ?
2-8°C
180 päev
kaitsta valguse eest 3685

  Mentions Légales