Posledná aktualizácia :
18/03/2026
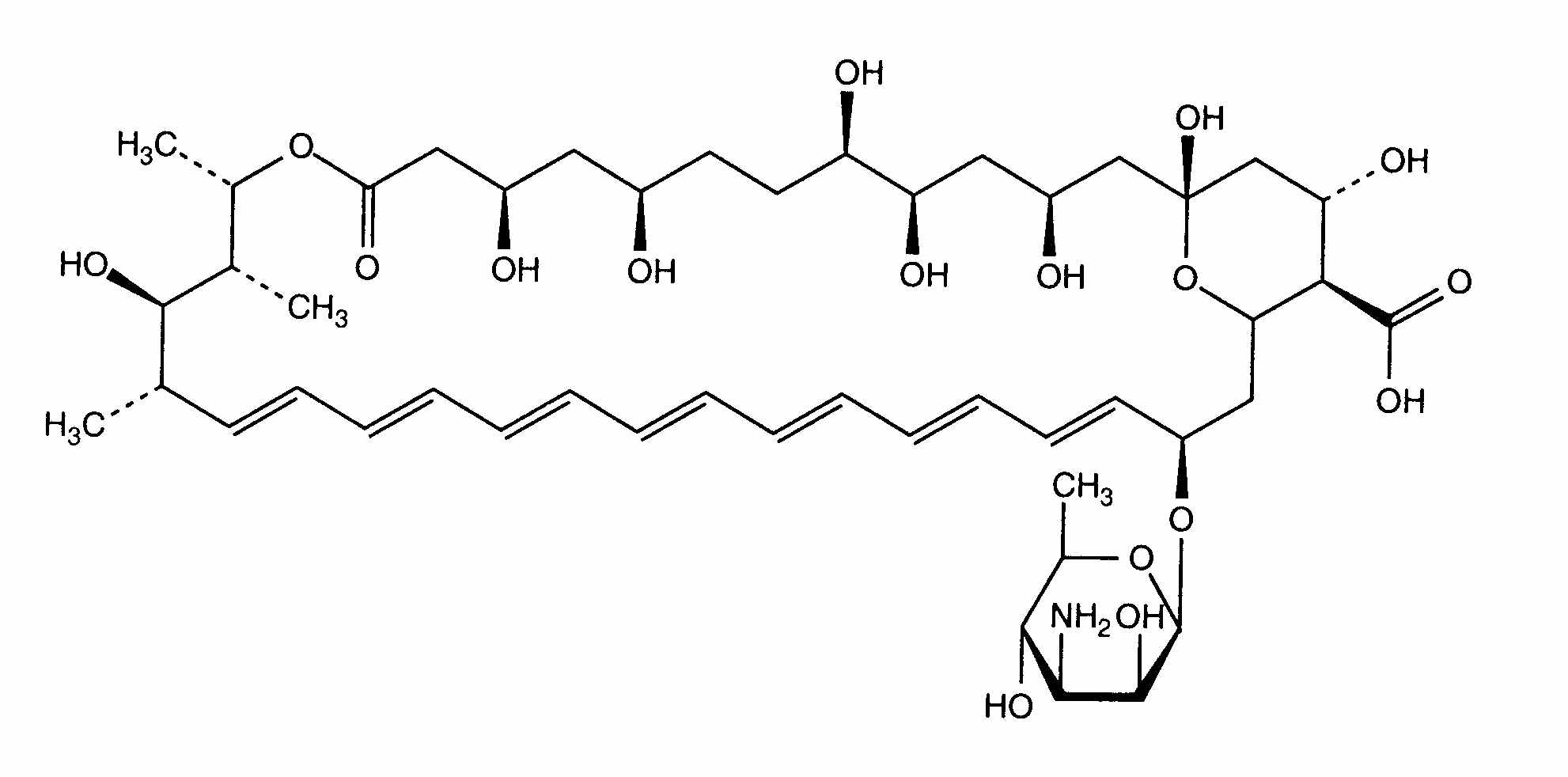
antimykotikum   Amphotericin B   
Perorálny roztok
Aerosól Injekcia Kloktadlo Očná instilácia
Stabilita farmaceutických prípravkov Stabilita v zmesiach Faktory ovplyvňujúce stabilitu Kompatibility Odkazy na literatúru PDF
   Chemický vzorec  

Perorálny roztok
Stabilita v zmesiach   Perorálny roztok   Stabilita v zmesiach : Amphotericin B      
obal Pomocná látka Zlúčenina teplota uchovávanie Trvanie stability odkazy na lieteratúru
Plastová fľaša
Metylparabén 9,5 mg
Propylparabén 3 mg
Nátriumbenzoát 10 mg
Disiričitan sodný 7,5 mg
Fosforečnan sodný 132,8 mg
KCl 29,4 mg
Na2HPO4 52, mg
Čistená voda >> 10 ml
Ampho-Moronal® 5 ml
Perorálny roztok   Amphotericin B Prášok500 mg  ® = ?
Perorálny roztok   Colistin sulfate Prášok118 mg  ® = ?
Perorálny roztok   Tobramycin sulfate Prášok121,75 mg  ® = ?
2-8°C
180 dní
Chránené pred svetlom 3685

  Mentions Légales