Τελευταία ενημέρωση :
18/03/2026
Αντιμυκητικό   Amphotericin B   
Πόσιμο διάλυμα
Αεροζόλ Ενέσιμο Οφθαλμικές σταγόνες Στοματικό διάλυμα
Σταθερότητα και συμβατότητα των φαρμάκων Σταθερότητα σε μίγματα Παράγοντας που επηρεάζει τη σταθερότητα Συμβατότητες Βιβλιογραφία pdf
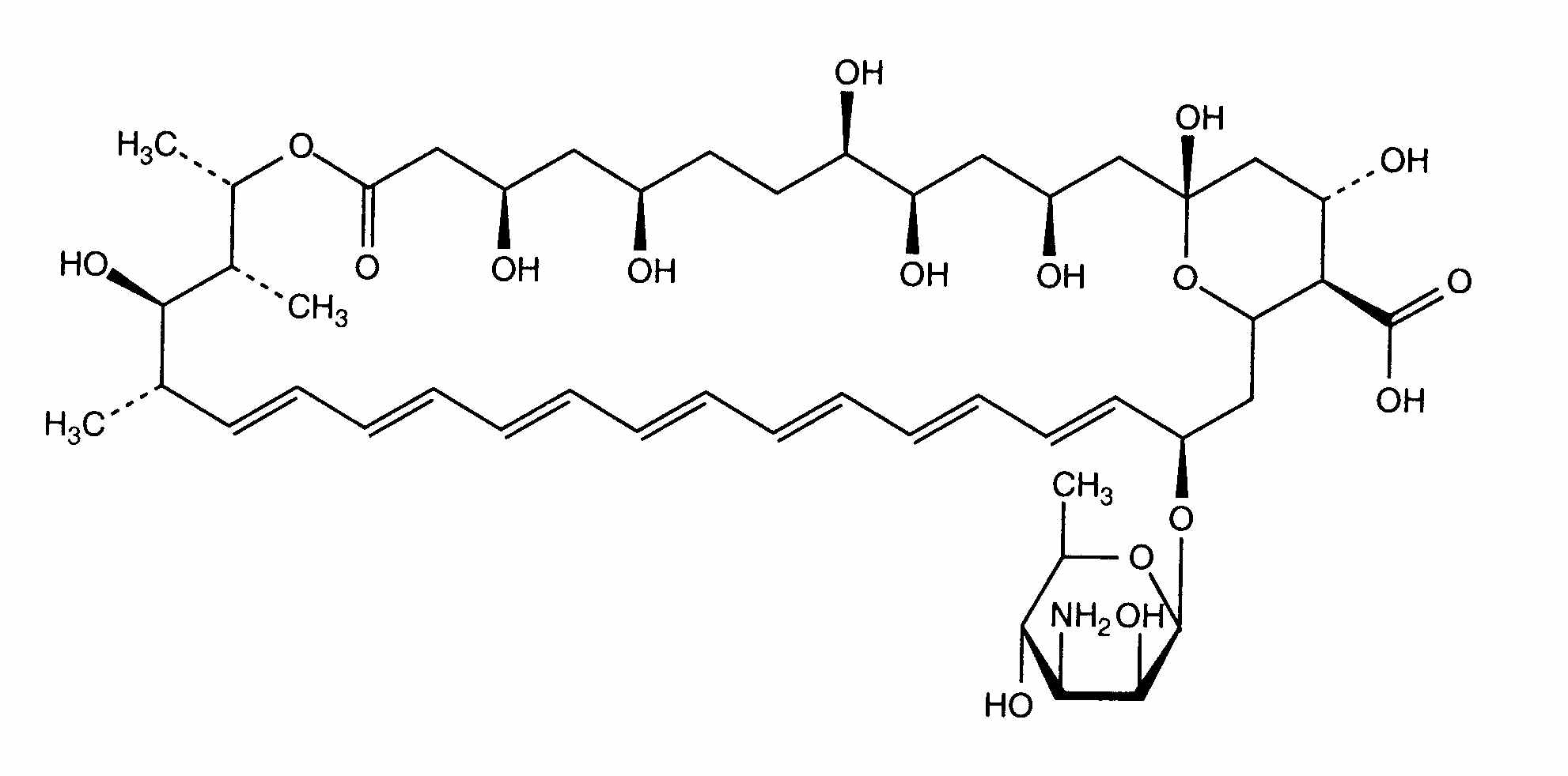
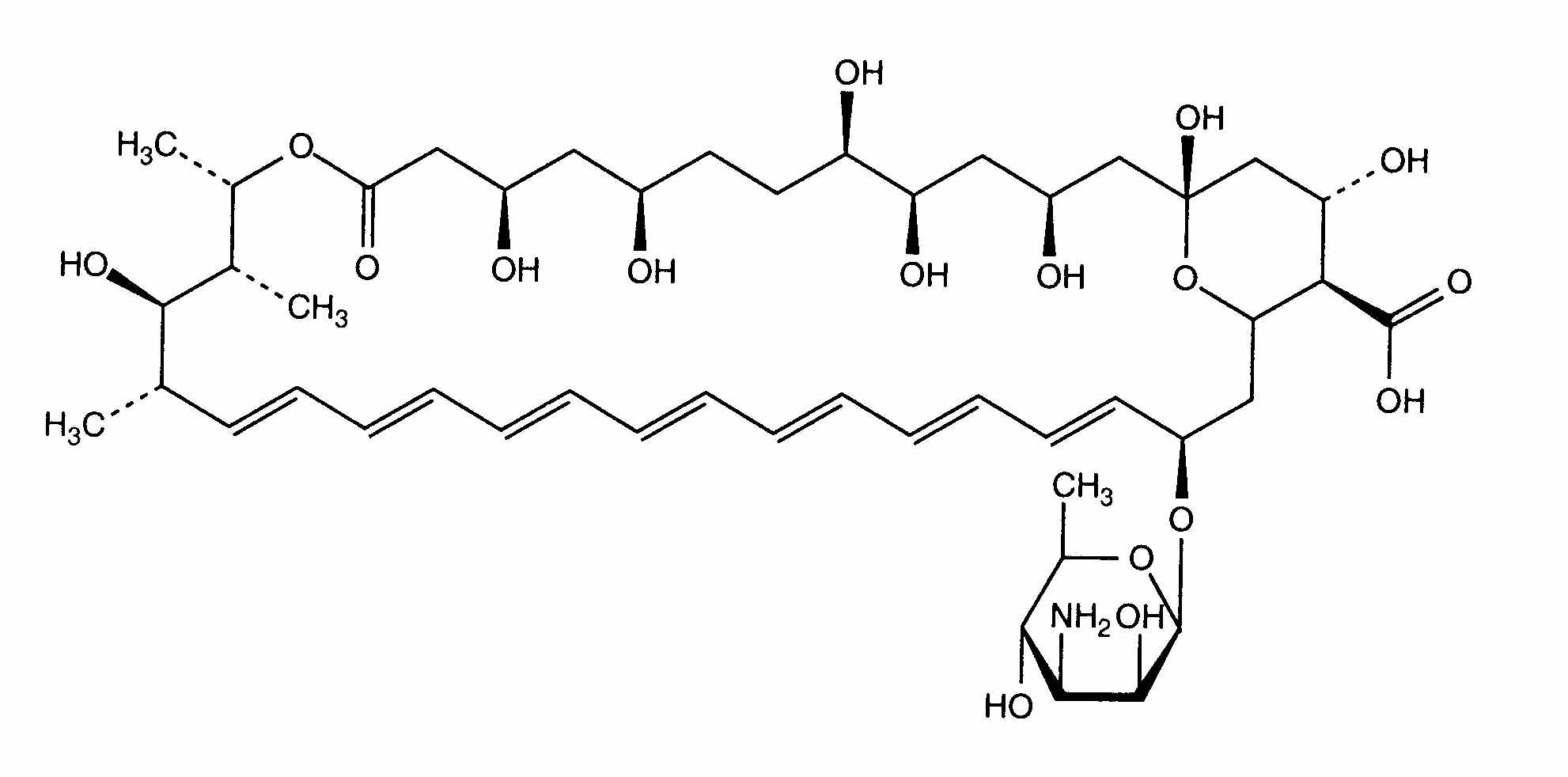
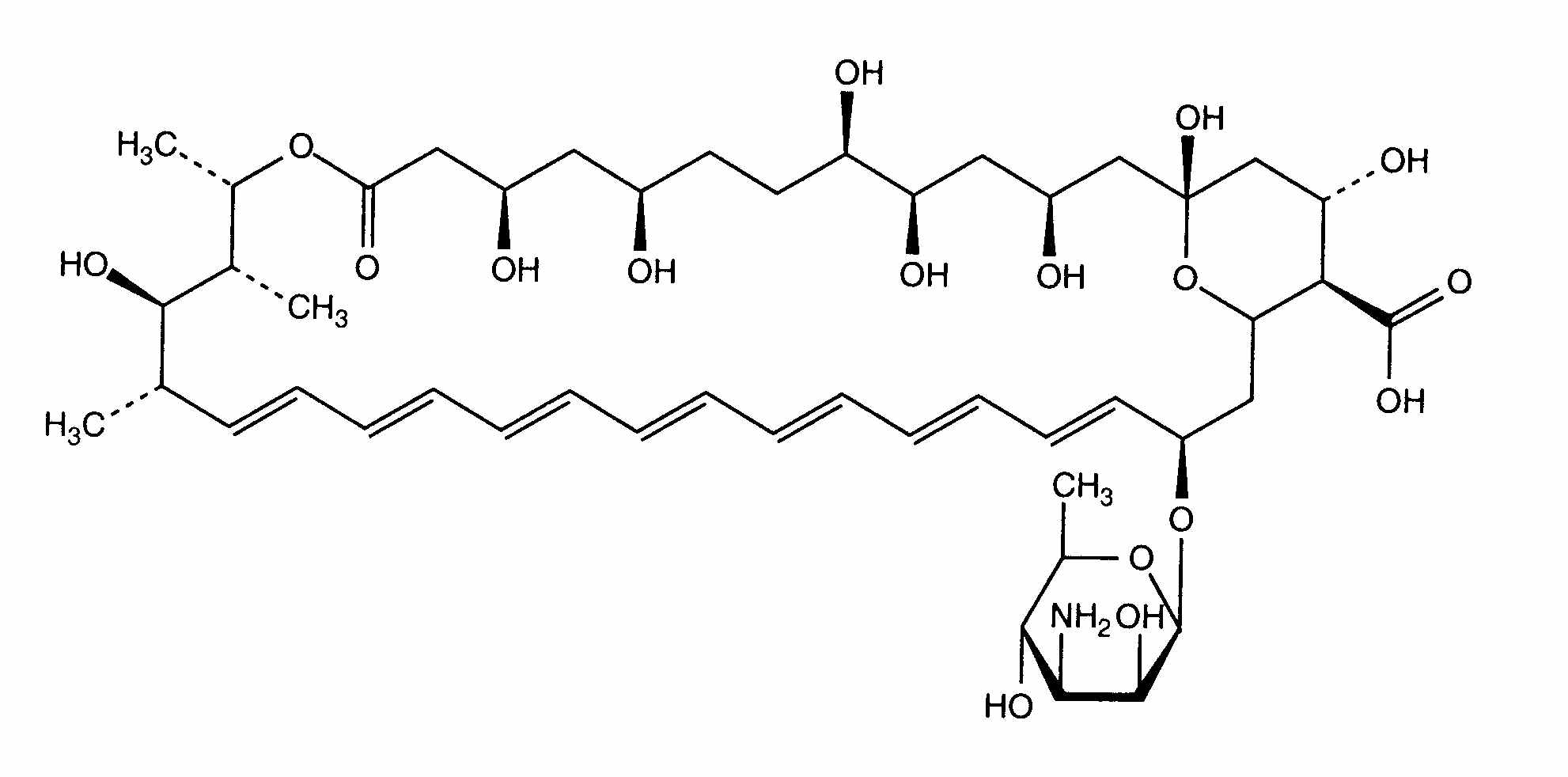
   χημική δομή  

Πόσιμο διάλυμα
Σταθερότητα σε μίγματα   Πόσιμο διάλυμα   Σταθερότητα σε μίγματα : Amphotericin B      
Υποδοχέας Έκδοχο Συστατικό Θερμοκρασία Αποθήκευση Διάρκεια σταθερότητας Βιβλιογραφία
Πλαστικό μπουκάλι
Μεθυλπαραμπέν 9,5 mg
Προπυλπαραμπέν 3 mg
Βενζοϊκό νάτριο 10 mg
Μεταδιθειώδες νάτριο 7,5 mg
Φωσφορικό νάτριο 132,8 mg
KCl 29,4 mg
Na2HPO4 52, mg
Κεκαθαρμένο νερό >> 10 ml
Ampho-Moronal® 5 ml
Πόσιμο διάλυμα   Amphotericin B Σκόνη500 mg  ® = ?
Πόσιμο διάλυμα   Colistin sulfate Σκόνη118 mg  ® = ?
Πόσιμο διάλυμα   Tobramycin sulfate Σκόνη121,75 mg  ® = ?
2-8°C
180 Ημέρα
Προστατεύετε από το φως 3685

  Mentions Légales