Son güncelleme :
27/11/2025
Antifungal   Amphotericin B   
Oral solüsyon / oral çözelti
Aerosol Enjeksiyon Gargara Göz damlası
Farmasötik preparatlar Kararlılığı Karışımlardaki stabilitesi Stabiliteyi etkileyen faktörler Uyumluluk Kaynaklar pdf
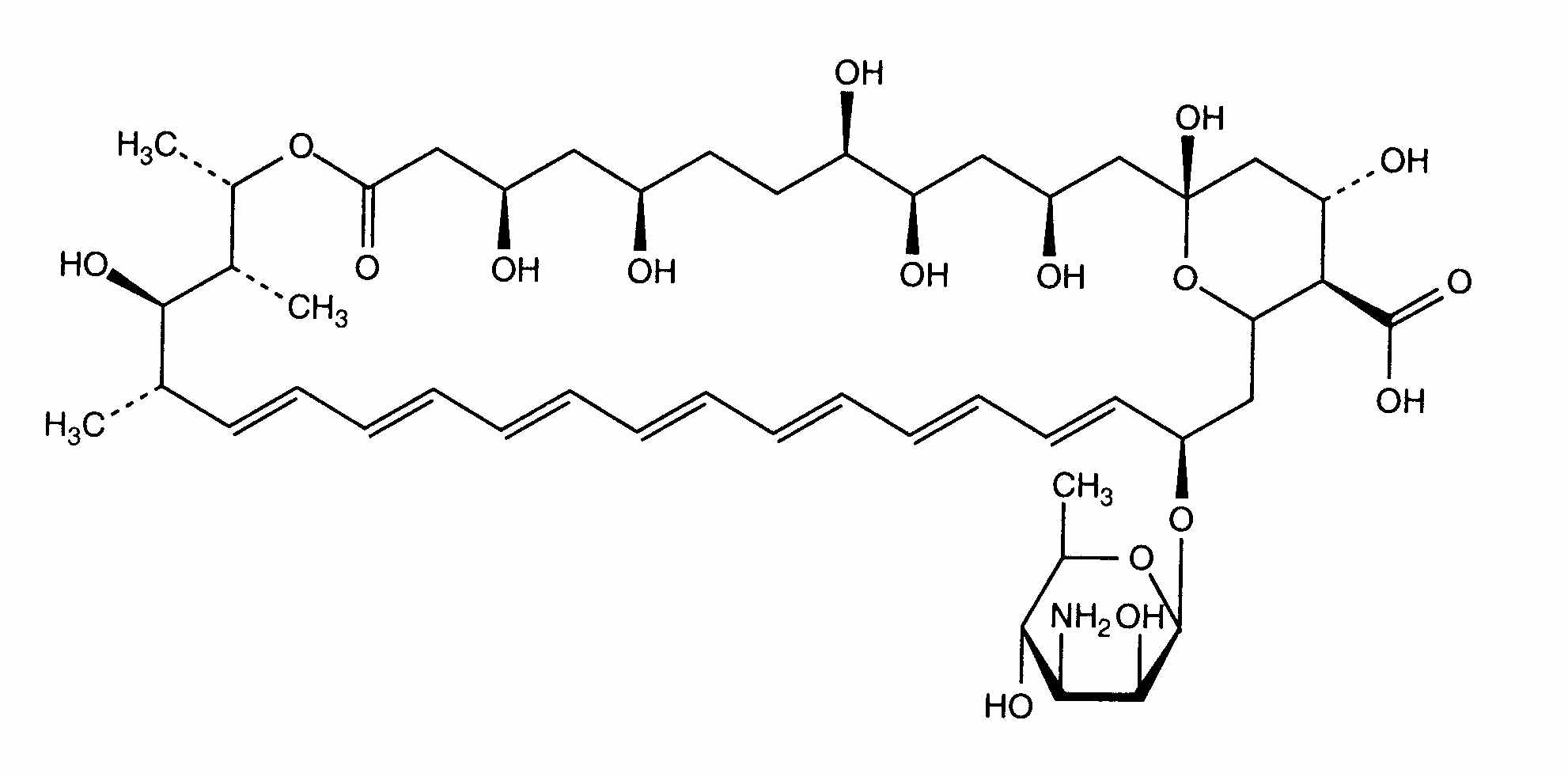
   Kimyasal yapı   

Oral solüsyon / oral çözelti
Karışımlardaki stabilitesi   Oral solüsyon / oral çözelti   Karışımlardaki stabilitesi : Amphotericin B      
Saklama kabı yardımcı madde Bileşik Isı Saklama    Stabilite süresi Kaynaklar
Plastik şişe
Metilparaben 9,5 mg
Propilparaben 3 mg
Sodyum benzoat 10 mg
Sodyum metabisülfit 7,5 mg
Sodyum fosfat 132,8 mg
KCl 29,4 mg
Na2HPO4 52, mg
Arıtılmış su >> 10 ml
Ampho-Moronal® 5 ml
Oral solüsyon / oral çözelti   Amphotericin B Toz500 mg  ® = ?
Oral solüsyon / oral çözelti   Colistin sulfate Toz118 mg  ® = ?
Oral solüsyon / oral çözelti   Tobramycin sulfate Toz121,75 mg  ® = ?
2-8°C
180 Gün
Işıktan koruyunuz 3685

  Mentions Légales