Pēdējā atjaunošana :
18/03/2026
Pretsēnīšu līdzeklis   Amphotericin B   
Orāls šķīdums
Acu pilieni Aerosols Injekcija Mutes skalojamais līdzeklis
Stabilitāte farmaceitisko preparātu Maisījuma stabilitāte Stabilitāti ietekmējoši faktori Saderība Literatūras saraksts pdf
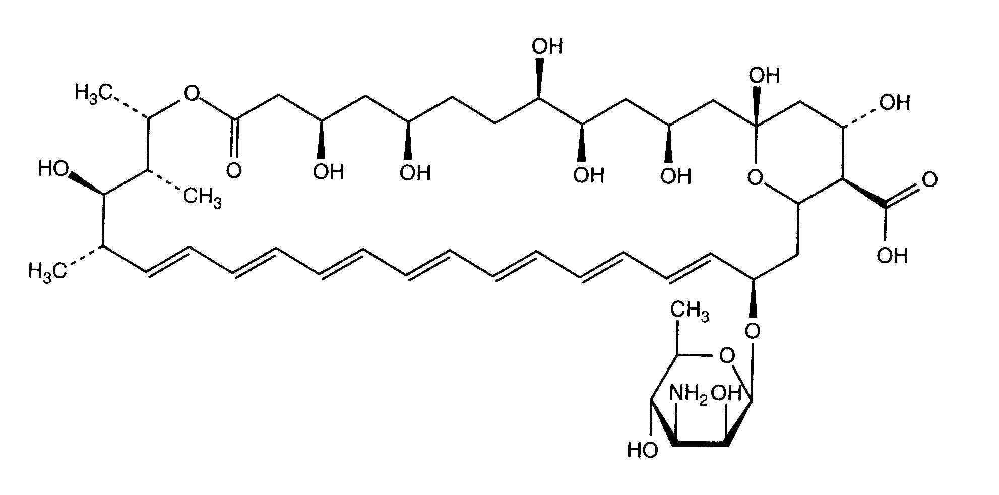
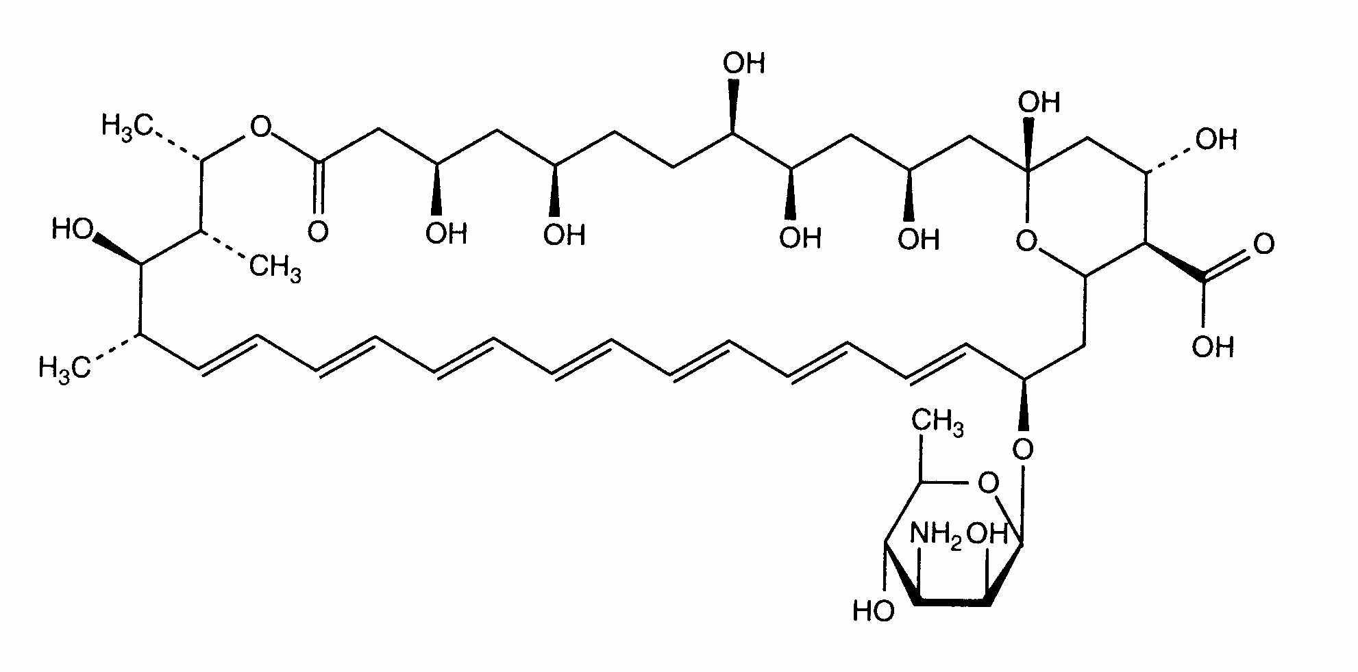
   Ķīmiskā uzbūve   

Orāls šķīdums
Maisījuma stabilitāte   Orāls šķīdums   Maisījuma stabilitāte : Amphotericin B      
Iepakojums Palīgviela Savienojums Temperatūra Glabāšana Stabilitātes ilgums Literatūras saraksts
Plastmasas pudele
Metilparabēns 9,5 mg
Propilparabēns 3 mg
Nātrija benzoāts 10 mg
Nātrija metabisulfīts 7,5 mg
Nātrija fosfāts 132,8 mg
KCl 29,4 mg
Na2HPO4 52, mg
Attīrīts ūdens >> 10 ml
Ampho-Moronal® 5 ml
Orāls šķīdums   Amphotericin B Pūderis500 mg  ® = ?
Orāls šķīdums   Colistin sulfate Pūderis118 mg  ® = ?
Orāls šķīdums   Tobramycin sulfate Pūderis121,75 mg  ® = ?
2-8°C
180 Diena
Aizsargāt no gaismas 3685

  Mentions Légales