Seneste opdatering :
18/03/2026
Antisvampe   Amphotericin B   
Oral opløsning
Aerosol Injektion Mundskyllevæske Øjendråber
Stabilitet af farmaceutiske tilberedninger Stabilitet i blandinger Faktorer der påvirker stabiliteten Kompatibilitet Bibliografi pdf
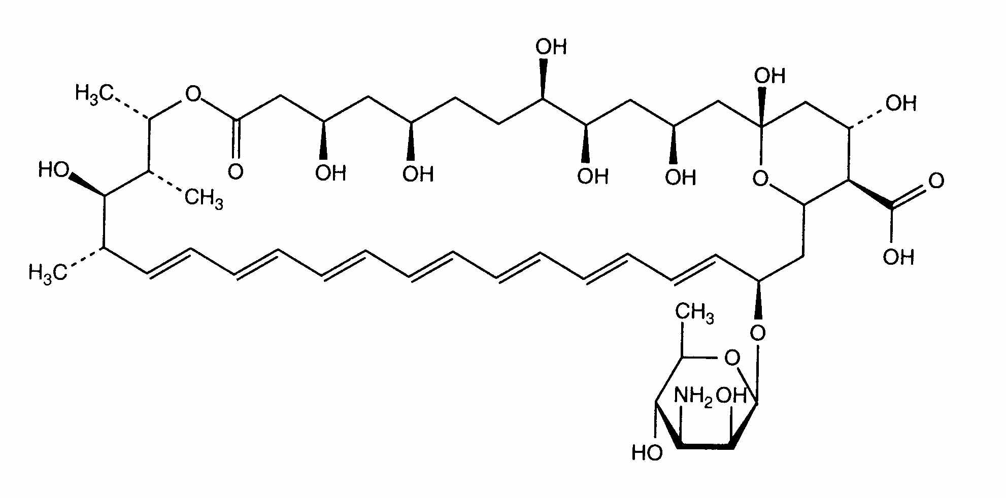
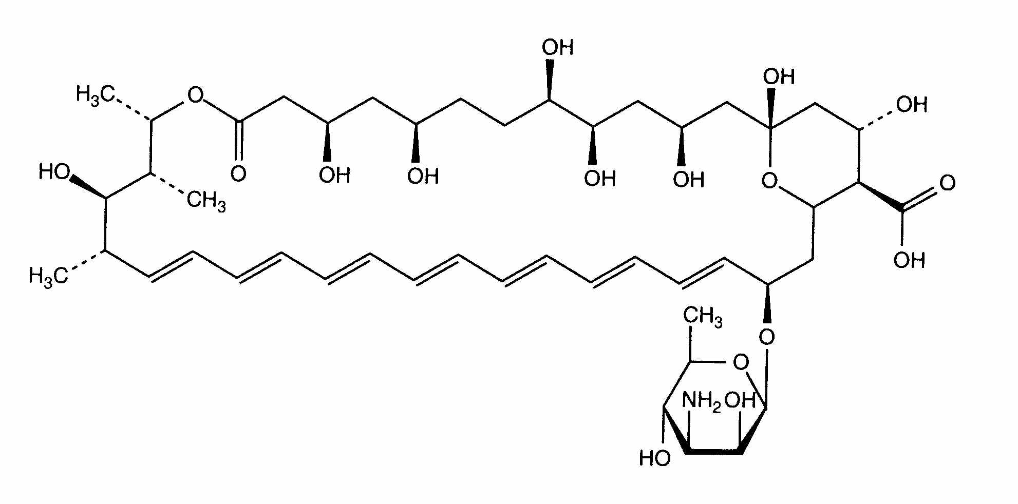
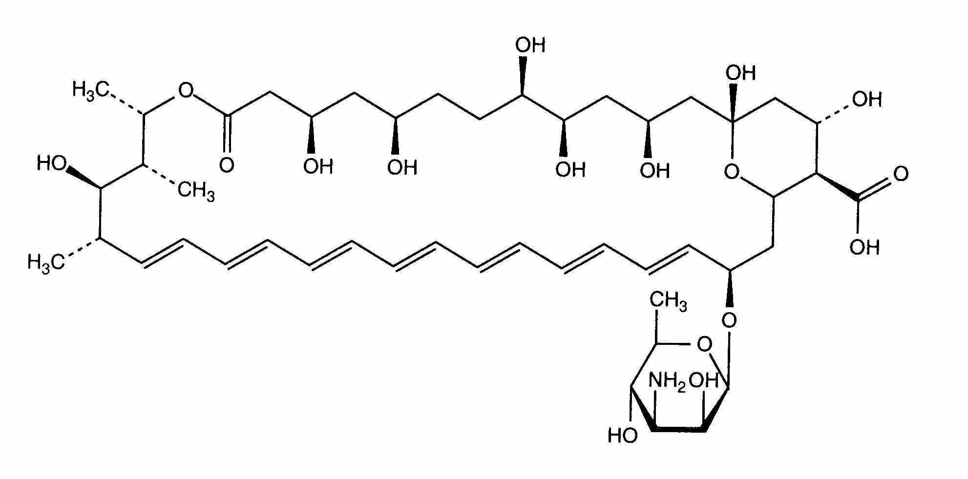
   Kemisk struktur  

Oral opløsning
Stabilitet i blandinger   Oral opløsning   Stabilitet i blandinger : Amphotericin B      
Beholder Hjælpestof Molekyle Temperatur Konservering Varighed af stabilitet Bibliografi
Plastflaske
Methylparaben 9,5 mg
Propylparaben 3 mg
Natriumbenzoat 10 mg
Natriummetabisulfit 7,5 mg
natriumphosphat 132,8 mg
KCl 29,4 mg
Na2HPO4 52, mg
Renset vand >> 10 ml
Ampho-Moronal® 5 ml
Oral opløsning   Amphotericin B Pulver500 mg  ® = ?
Oral opløsning   Colistin sulfate Pulver118 mg  ® = ?
Oral opløsning   Tobramycin sulfate Pulver121,75 mg  ® = ?
2-8°C
180 Dag
Beskyt mod lys 3685

  Mentions Légales