最新更新 :
27/11/2025
抗真菌薬   Amphotericin B   
経口液
エアロゾル 含嗽薬 注射薬 点眼薬
調剤時の安定性 混合時の安定性 安定性に影響する因子 互換性 引用文献 PDF
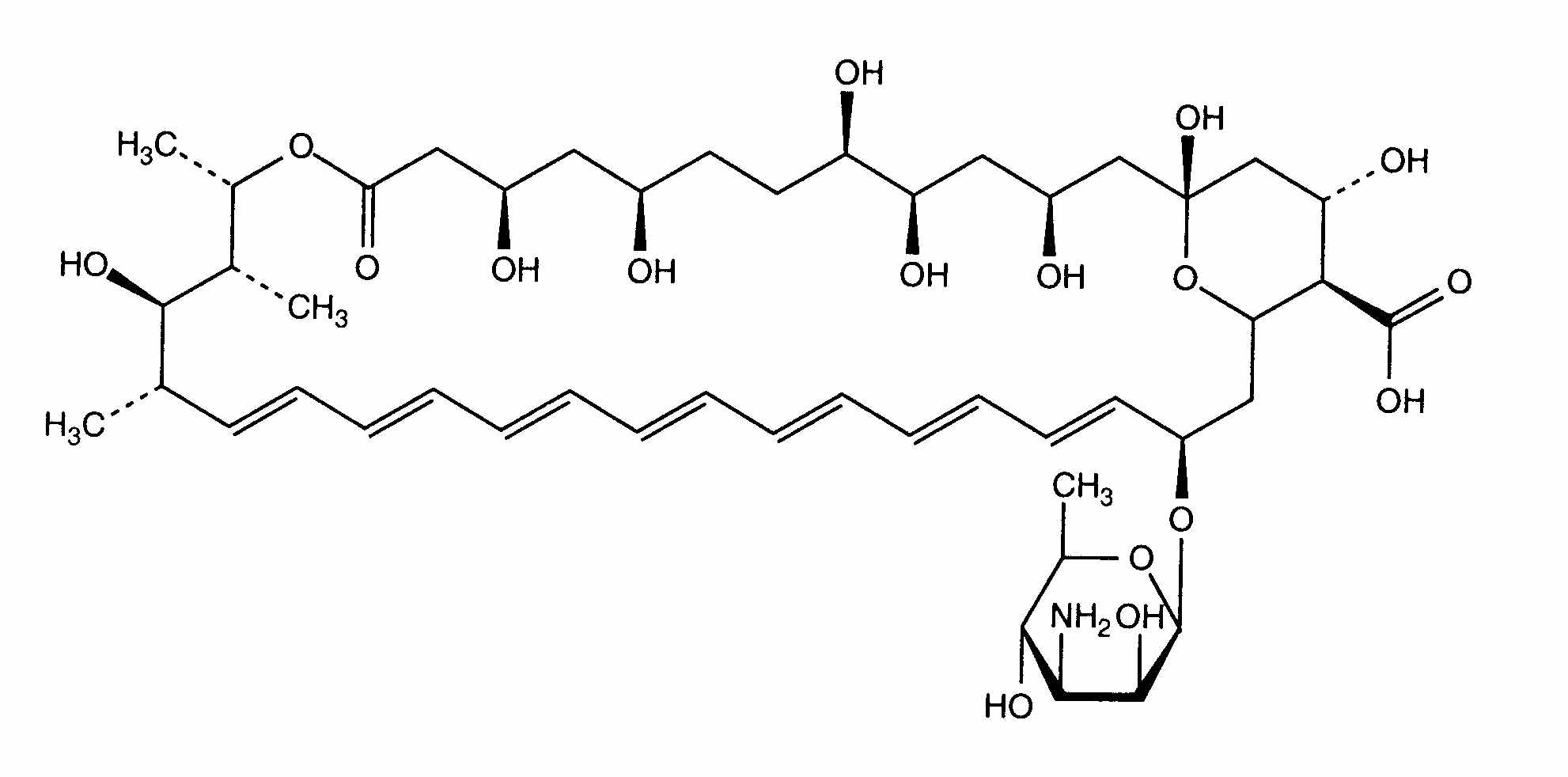
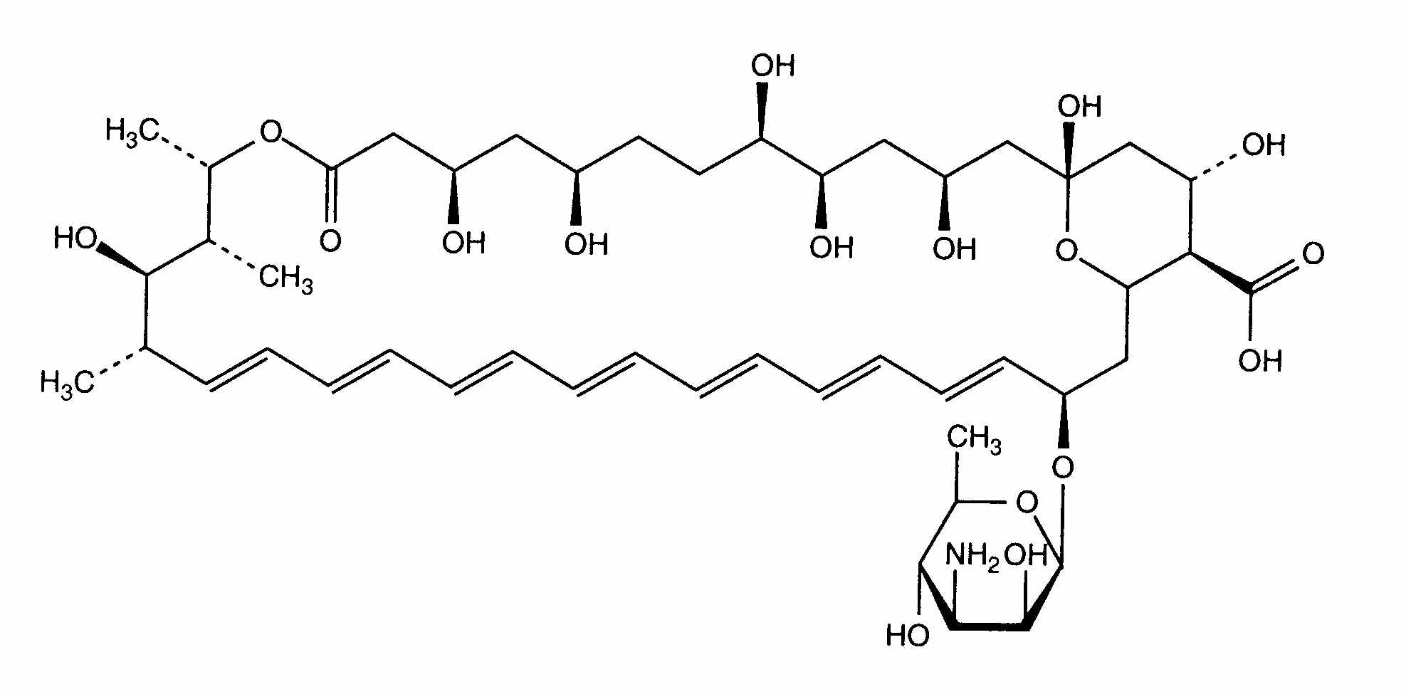
   化学構造  

経口液
混合時の安定性   経口液   混合時の安定性 : Amphotericin B      
容器 添加剤 化合物 温度 保管 安定期間 引用文献
プラスチックボトル
メチルパラベン 9,5 mg
プロピルパラベン 3 mg
安息香酸ナトリウム 10 mg
メタ重亜硫酸ナトリウム 7,5 mg
リン酸ナトリウム 132,8 mg
KCl 29,4 mg
Na2HPO4 52, mg
精製水 >> 10 ml
Ampho-Moronal® 5 ml
経口液   Amphotericin B 粉500 mg  ® = ?
経口液   Colistin sulfate 粉118 mg  ® = ?
経口液   Tobramycin sulfate 粉121,75 mg  ® = ?
2-8°C
180 日
遮光 3685

  Mentions Légales