Poslední aktualizace :
18/03/2026
Priešgrybelinis vaistas   Amphotericin B   
Geriamas tirpalas
Aerozolis Akių lašai Įpurškimas Skystis burnai skalauti
Stabilumas farmacinių preparatų Mišinių stabilumas Stabilumą lemiantys veiksniai Suderinamumas Bibliografija pdf
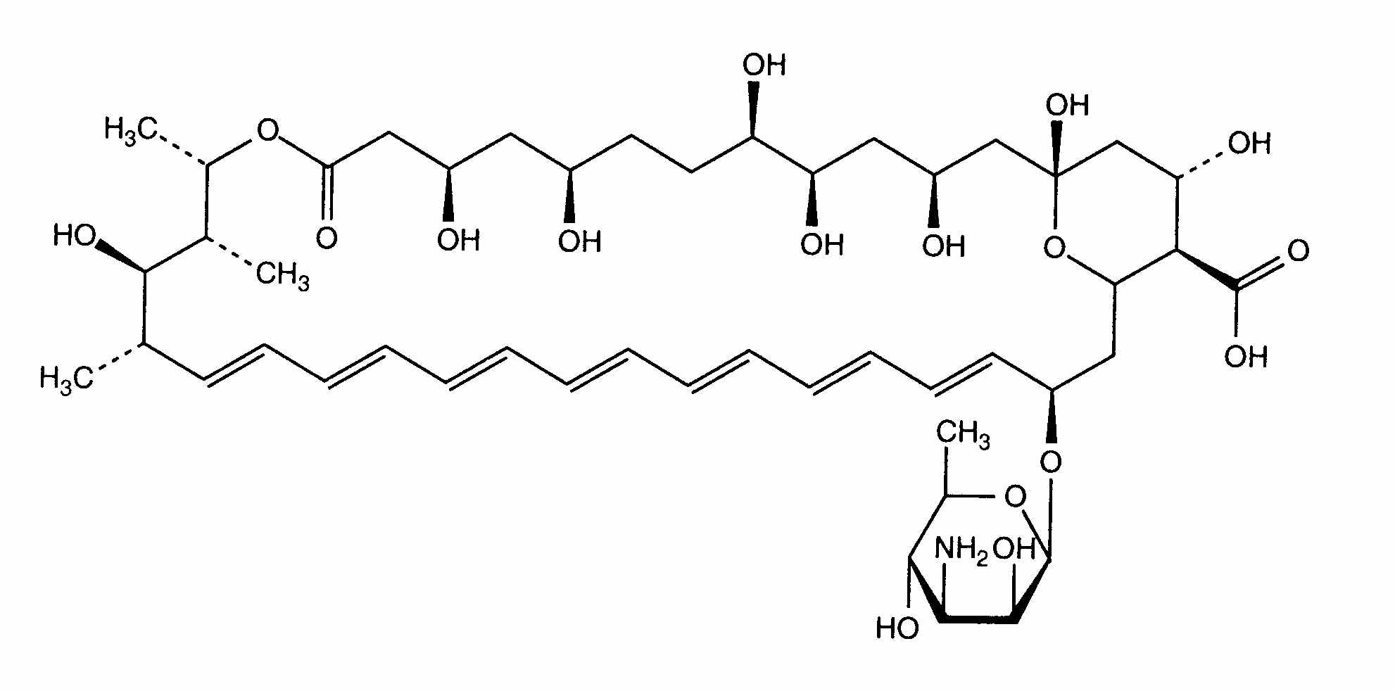
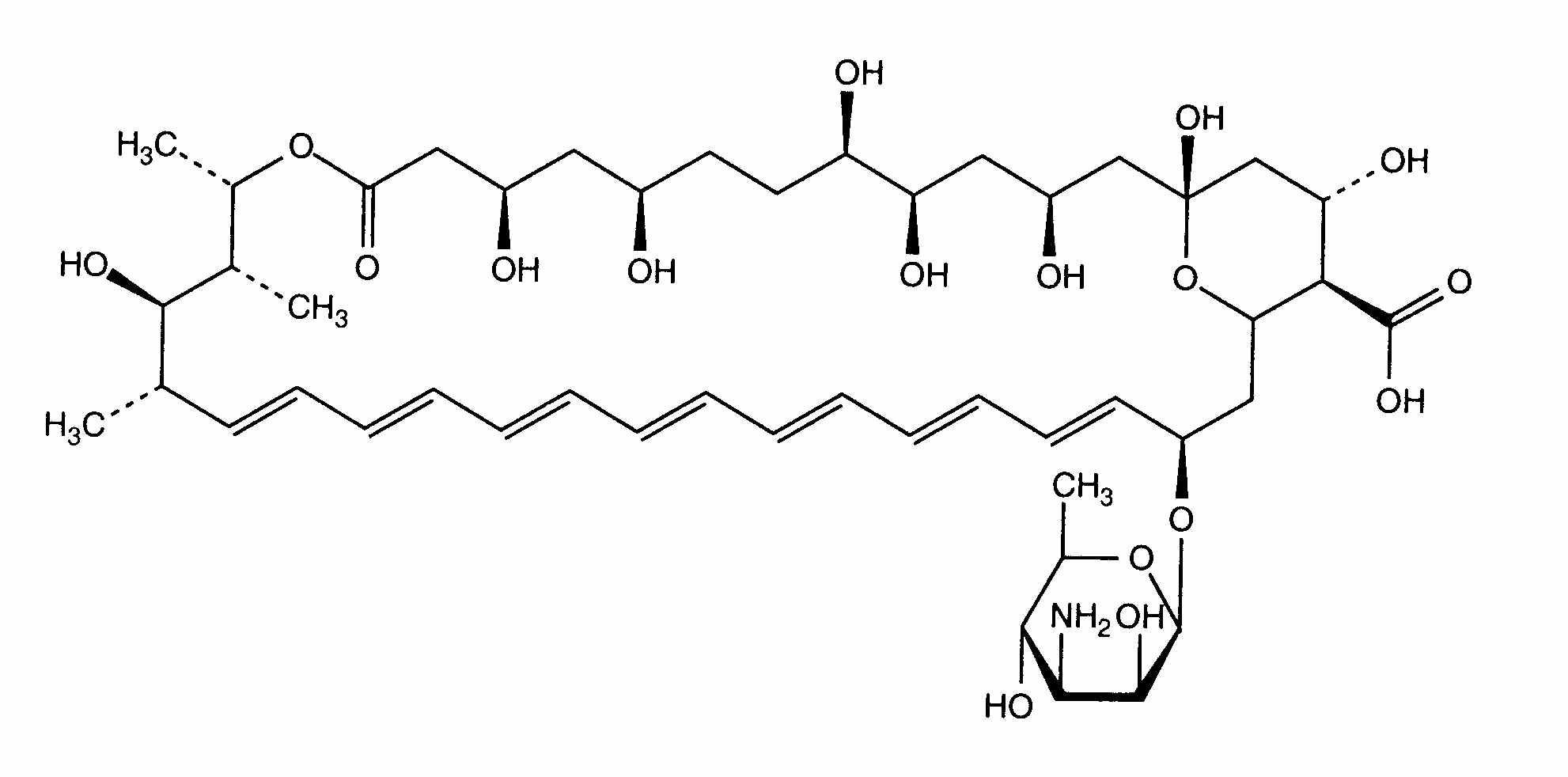
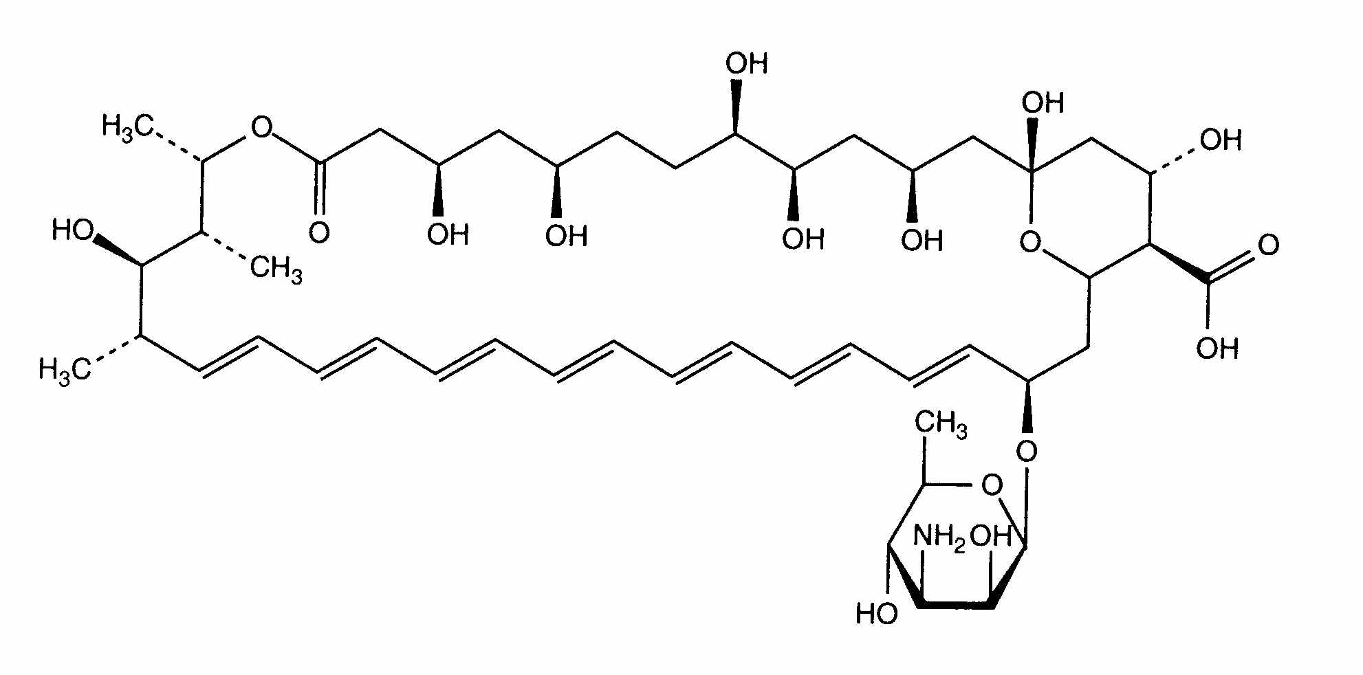
   Cheminė sandara  

Geriamas tirpalas
Mišinių stabilumas   Geriamas tirpalas   Mišinių stabilumas : Amphotericin B      
Pakuotė Ekscipientas Molekulė Temperatūra Laikymas Stabilumo trukmė Nuorodos
Plastikinis butelis
Metilparabenas 9,5 mg
Propilparabenas 3 mg
Natrio benzoatas 10 mg
Natrio metabisulfitas 7,5 mg
Natrio fosfatas 132,8 mg
KCl 29,4 mg
Na2HPO4 52, mg
Išvalytas vanduo >> 10 ml
Ampho-Moronal® 5 ml
Geriamas tirpalas   Amphotericin B Milteliai500 mg  ® = ?
Geriamas tirpalas   Colistin sulfate Milteliai118 mg  ® = ?
Geriamas tirpalas   Tobramycin sulfate Milteliai121,75 mg  ® = ?
2-8°C
180 Diena
Apsaugotas nuo šviesos 3685

  Mentions Légales