Останнє оновлення :
18/03/2026
Протигрибковий   Amphotericin B   
Розчин для перорального застосування
ін'єкція аерозоль Ополіскувач ротової порожнини Очні краплі
Стабільність фармацевтичних препаратів Стійкість сумішей Фактори, що впливають на стабільність Сумісність Список літератури pdf
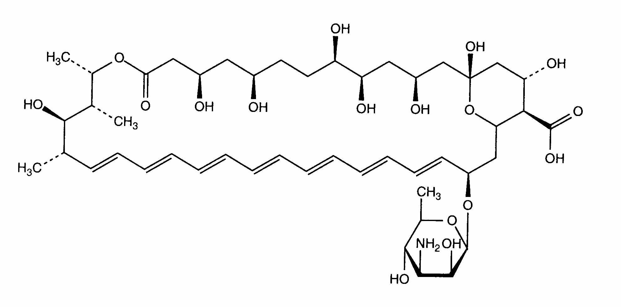
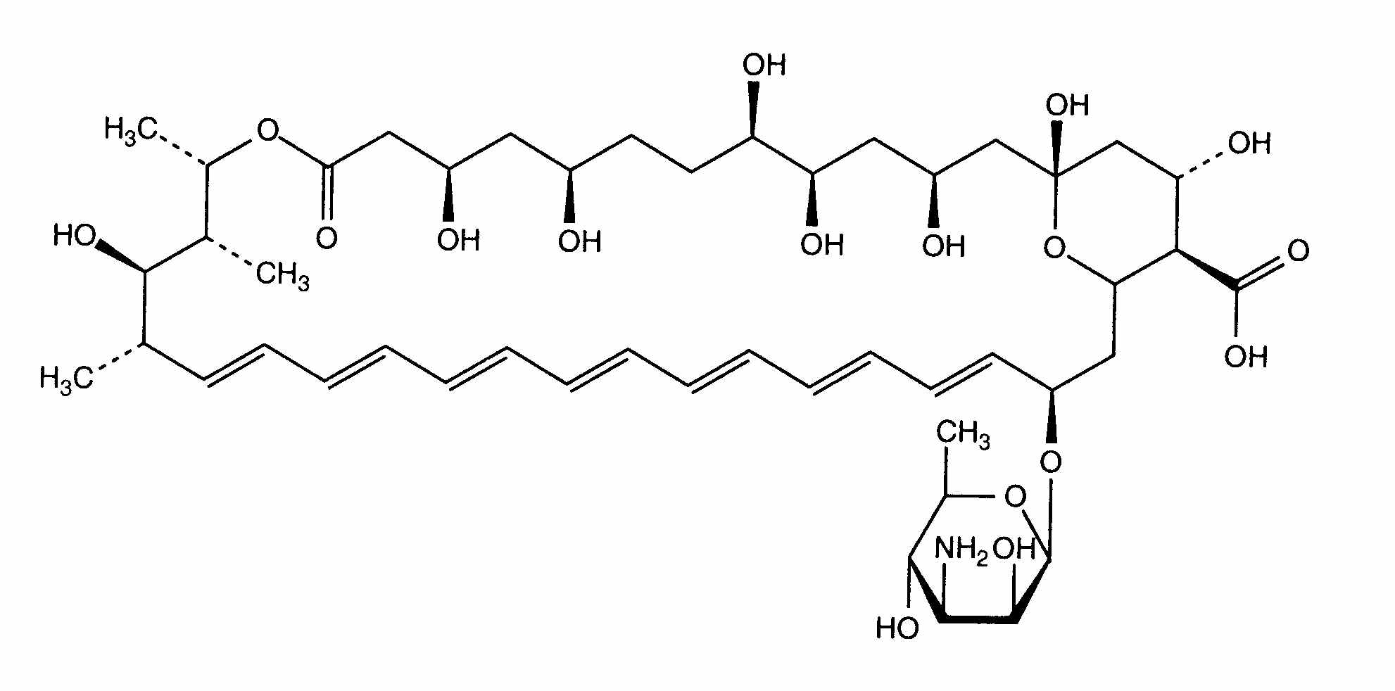
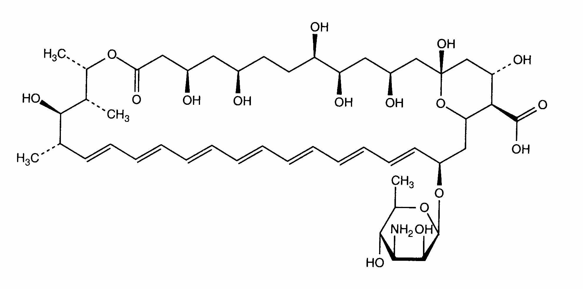
   Хімічна структура  

Розчин для перорального застосування
Сумісність   Розчин для перорального застосування   Сумісність : Amphotericin B               
7 / 5 000 Résultats de traduction Немає даних

  Mentions Légales