Ostatnia aktualizacja :
18/03/2026
Lek przeciwgrzybiczny   Amphotericin B   
Roztwór doustny
Aerozol Injekcje Krople oczne Roztwór do płukania gardła
Stabilność preparatów farmaceutycznych Trwałość w mieszaninie Czynnik wpływający na trwałość Zgodność Bibliografia pdf
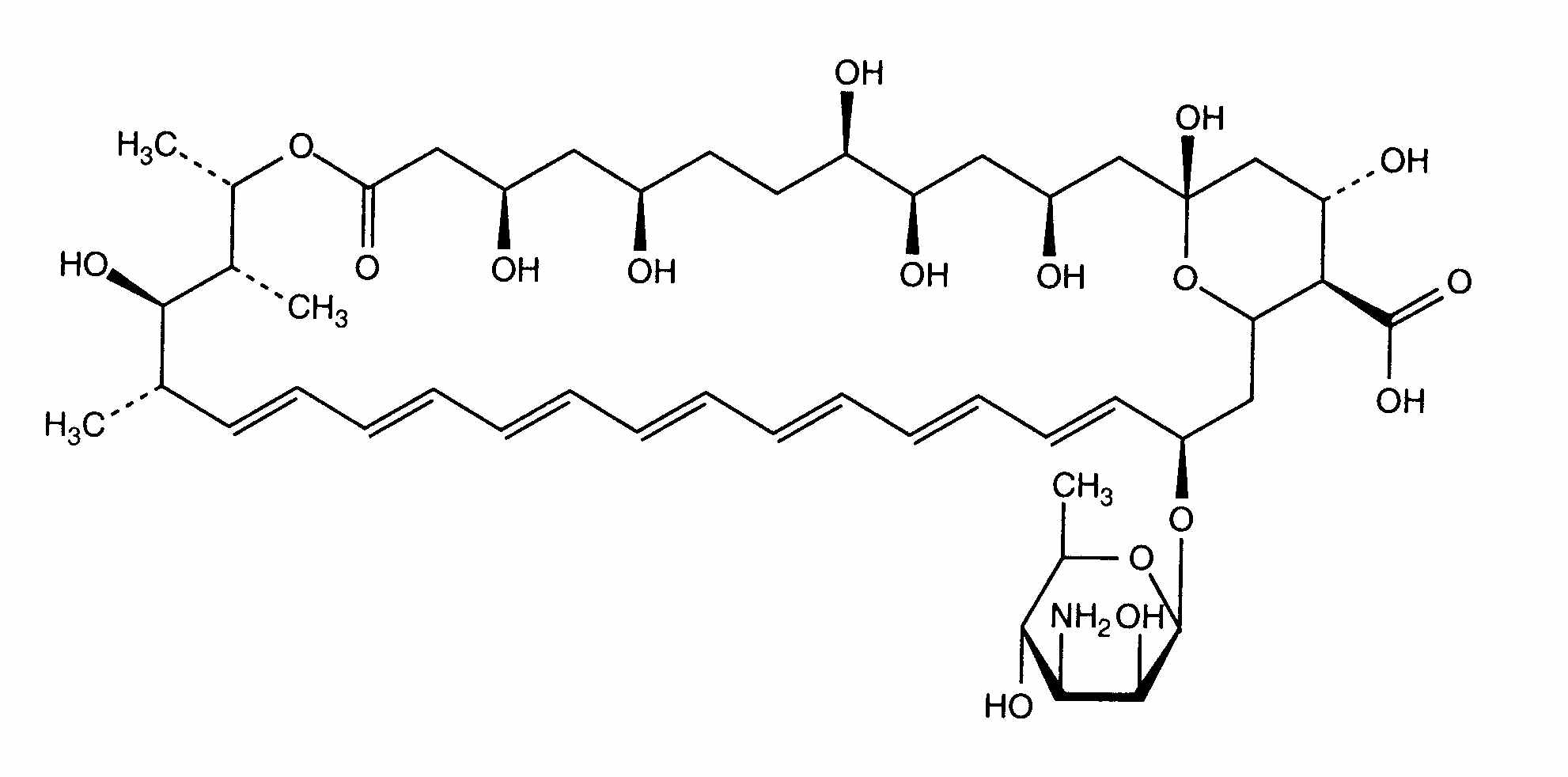
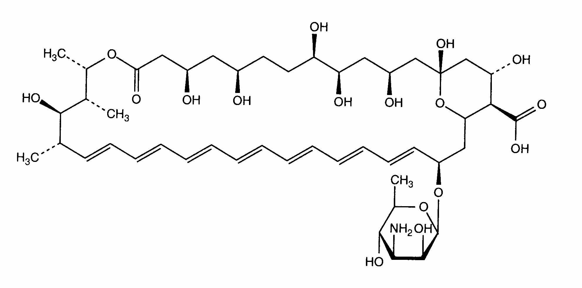
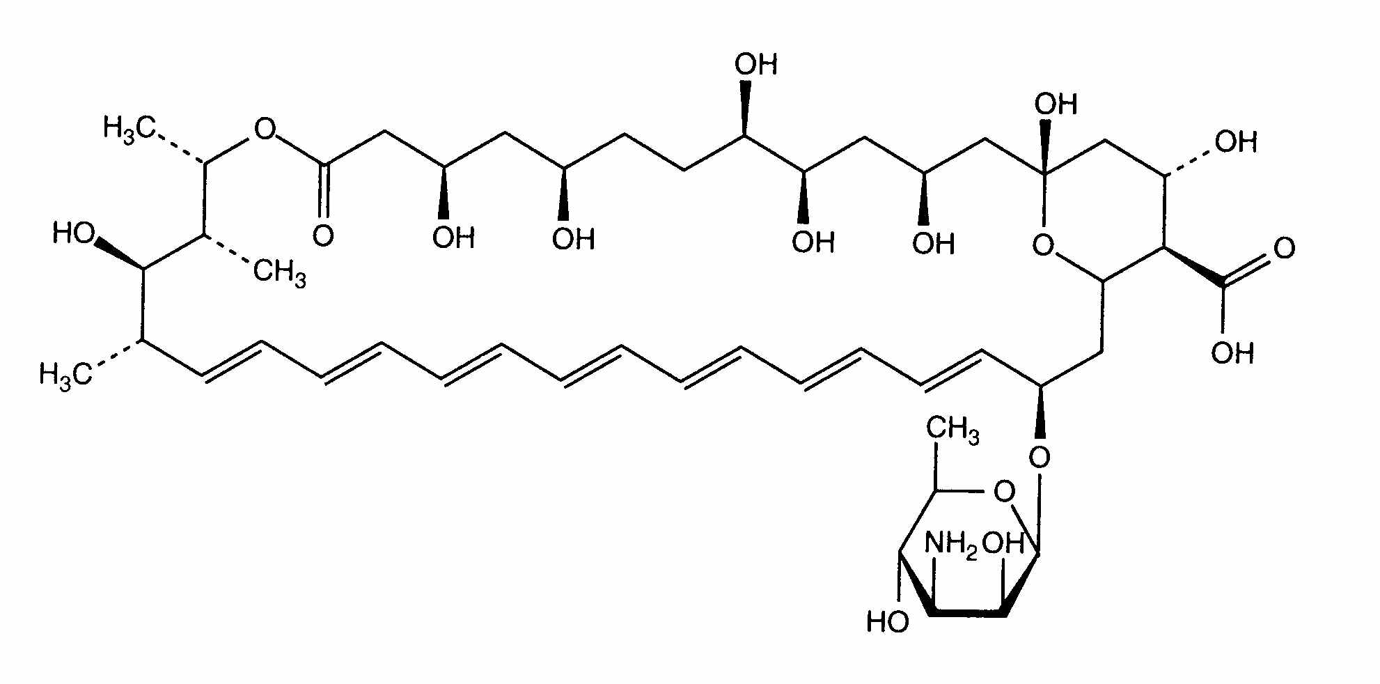
   Struktura chemiczna  

Roztwór doustny
Zgodność   Roztwór doustny   Zgodność : Amphotericin B               
Brak danych

  Mentions Légales