Dernière mise à jour :
18/03/2026
Antifongique   Amphotericin B   
Solution buvable
Aérosol Collyre Gargarisme injectable
Stabilité des préparations Stabilité en mélange Facteur influençant la stabilité Compatibilités Bibliographie pdf
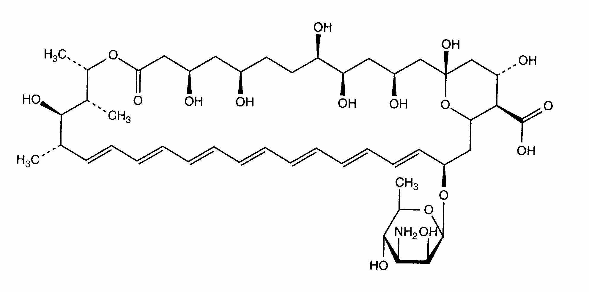
   Structure chimique  

Solution buvable
Compatibilités   Solution buvable   Compatibilités : Amphotericin B               
Aucune donnée

  Mentions Légales