Last update :
18/03/2026
Antifungal   Amphotericin B   
Oral solution
aerosol Eye-drops injection Mouthwash
Stability of pharmaceutical preparations Stability of mixtures Factors which affect stability Compatibility References pdf
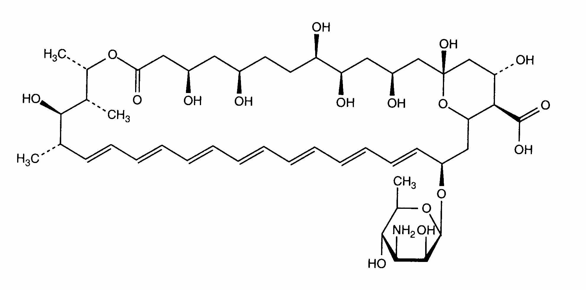
   Chemical structure  

Oral solution
Compatibility   Oral solution   Compatibility : Amphotericin B               
No data

  Mentions Légales